อยากได้แบบฝึกหัดฟรีนับพัน (ไม่มีสิ่งรบกวนเลย)? Here’s how
calculo
ได้รับความนิยมมากที่สุด
Newest
Oldest
A-Z
Z-A
evaluar ejercicios
Lee con atención y responde lo que se te pide.
CONTIENE EJERCICIOS DE INTEGRALES TRIGONOMETRICAS
elementos de la parábola y la circunferencia
Conteo numérico
Conocimiento de figuras y cuerpos geométricos
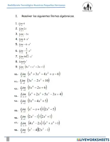
Limites lineales
números en ingles
ejercicios
prueba de operaciones combinada
Empareja los números con las imágenes correspondientes.
calcula las siguientes sumas sin llevadas
Problemas monedas 10 y 50 para jóvenes con discapacidad intelectual
Evaluación de undécimo grado en el tema de limites indeterminado
examen de interale impropias
Realiza las siguientes sumas para practicar
Funciones creciente, dominio y rango de funciones
ficha Solución de ecuaciones exponenciales