-
calculo
-
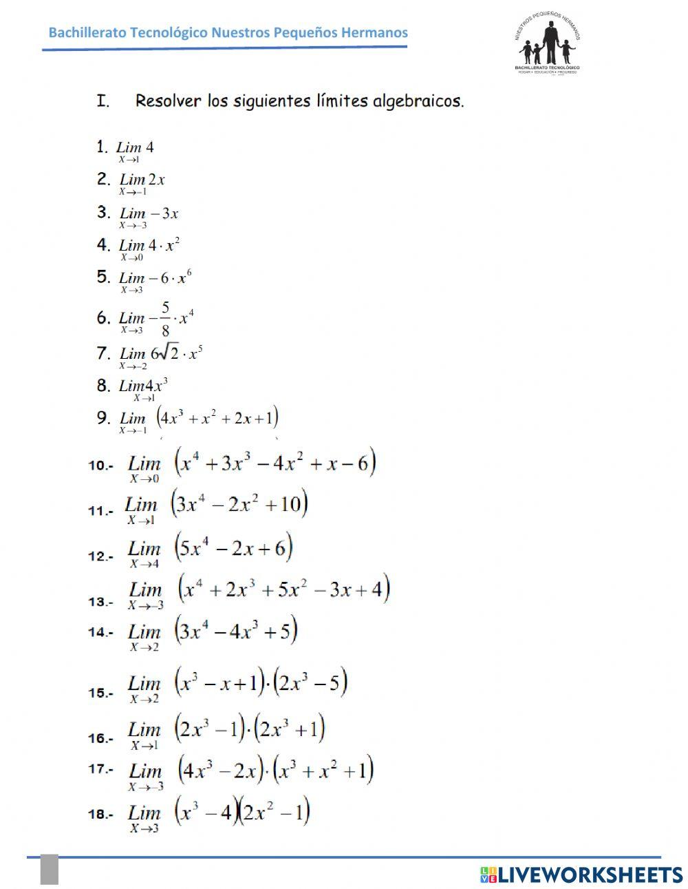
Limites lineales
-
Age 15-18
-
level: bachillerato
-
Spanish
Author's Instructions
Limites lineales
-
calculo
-
Limites lineales
-
Age 15-18
-
level: bachillerato
-
Spanish
Author's Instructions
Limites lineales
📚 New Feature: Share worksheets & get automatic grading via Google Classroom 🎓
