Created by

profelauradiaz
- Matemáticas
- Productos notables
- Age 15-17
-
level: Bachillerato
- Spanish
คำแนะนำของผู้เขียน
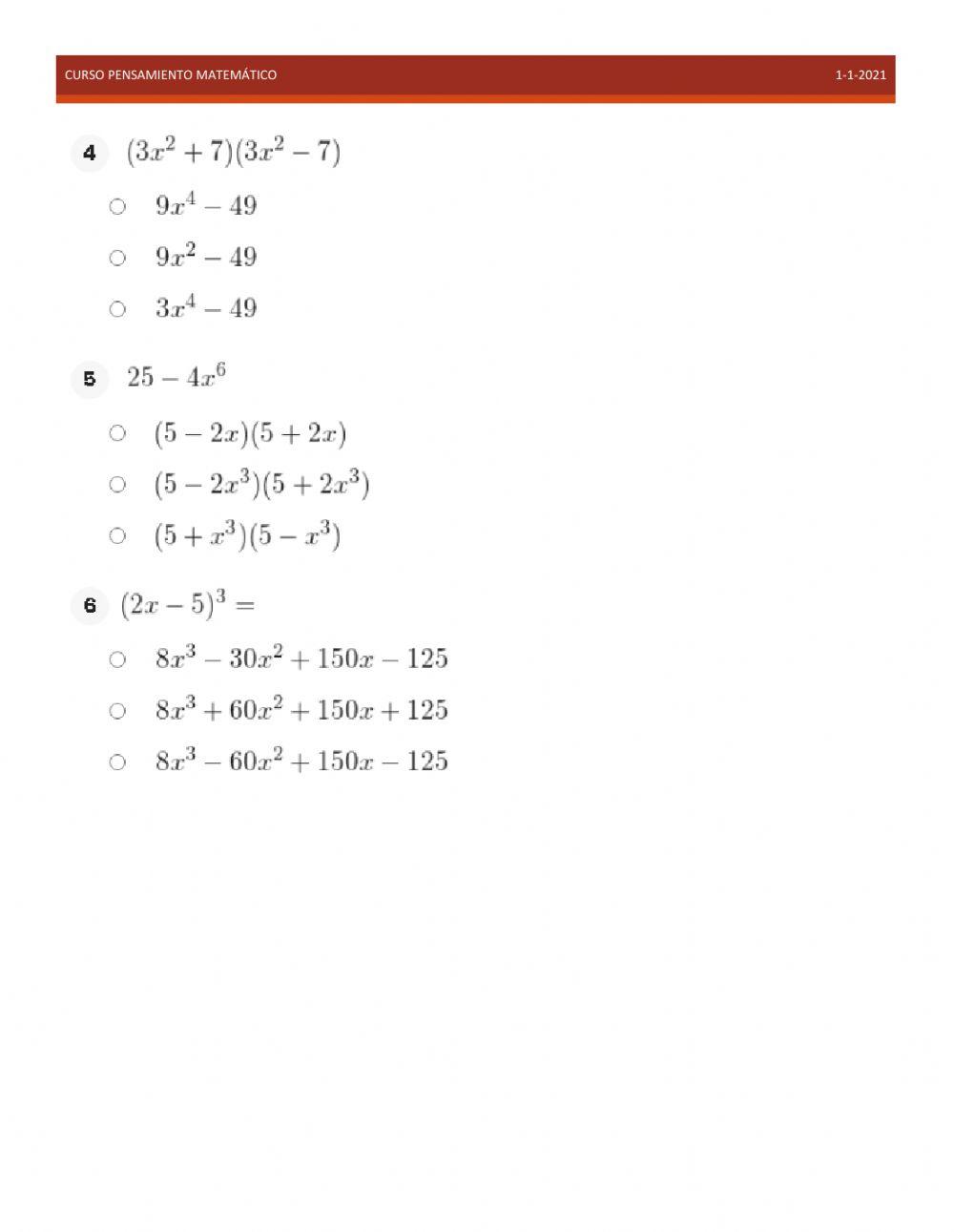
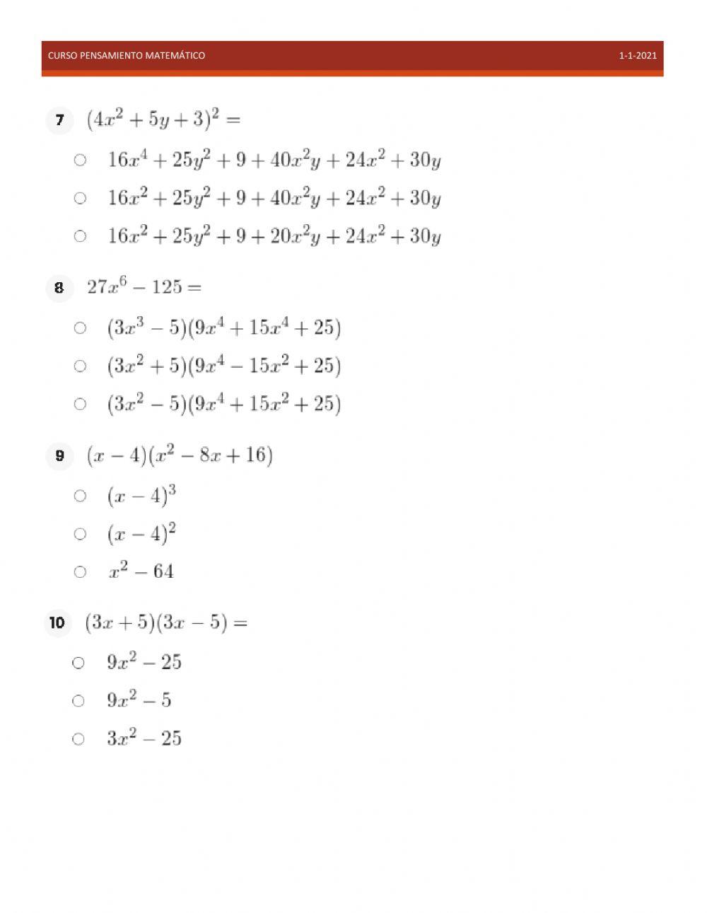
Productos notables
Created by

profelauradiaz
คำแนะนำของผู้เขียน
Productos notables
Created by

level: Bachillerato
Productos notables
Created by

Productos notables