อยากได้แบบฝึกหัดฟรีนับพัน (ไม่มีสิ่งรบกวนเลย)? Here’s how
ป.6 (ประถมศึกษาปีที่ 6)
ได้รับความนิยมมากที่สุด
Newest
Oldest
A-Z
Z-A
Algebra - Math
Word problem challenge
اختار الاجابة الصحيحة
اجب عن الاسئلة التالية
aa
realizar los ejercicios
Resuelve aplicando conocimientos previos.
ข้อสอบประเมินความรู้ระดับชั้น ปลายภาคเรียนที่ 2โรงเรียนบ้านวังสะพุง
Refleksi
Tahap ini dirancang untuk membantu kamu melatih keberanian menyampaikan ide. Presentasi akan memperkuat rasa percaya dirimu dalam menyusun argumen logis, menjelaskan pemikiran, dan menerima masukan dari orang lain.
Penyederhanaan Bentuk Aljabar
Petunjuk:
Kerjakan soal-soal berikut dengan cermat. Gunakan pemahamanmu tentang sifat komutatif, asosiatif, distributif, serta konsep suku sejenis dalam bentuk aljabar.
Complete this worksheet to improve your Continuous Assessment mark.
подставь значения переменных и вычисли значение заданных выражений
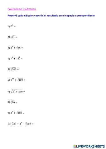
Usá esta actividad para practicar potencias y raíces con números naturales. Escribí el resultado de cada cuenta en el espacio correspondiente.
Впишите ответы на задания в окошки для ввода
try it
First worksheet, use the drop-down button to select the correct inequality symbol that makes the statement true.
Second wirksheet, order the integers as the worksheet advises.
ให้นักเรียนหาตัวหารร่วมมากของจำนวนต่อไปนี้ แล้วพิมพ์ตัวเลขคำตอบลงในช่องว่างให้ถูกต้อง
N/A
เศษส่วน
การหาค.ร.น.
-
draw the factor tree
kerjakan lkpd
6666666666666666666666666666666666666666666666666666666666666666666666666666666666666666666666