อยากได้แบบฝึกหัดฟรีนับพัน (ไม่มีสิ่งรบกวนเลย)? Here’s how
ได้รับความนิยมมากที่สุด
Newest
Oldest
A-Z
Z-A
Algebra - Math
1. Isilah identitasmu pada kolom yang telah diberikan.
2. Bacalah setiap petunjuk dengan cermat.
3. Kerjakan dengan cara mengisi bagian rumpang yang disediakan.
Probability and Statistics - Math
-
Ratios and Proportions - Math
Ikuti langkah yang ada dengan baik
isilah LKPD ini dengan tepat
ARRASTRE LA RESPUESTA CORRESPONDIENTE.
Functions and Graphs - Math
Mean
Geometry - Math
Kerjakan dengan cermat sesuai petunjuk yang ada. Jika ada yang dibingungkan tanyakan pada guru.
Kerjakanlah soal-soal berikut dengan benar
Kerjakan lkpd ini ya
Kerjakan seperti biasa
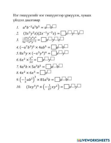
Хоосон нүдний оронд тоо бөглөөрэй.
BACA PERINTAH PADA LKPD
Bacalah perintah pada LKPD
حلا عثمان
a) Diskusikan bersama teman sekelompokmu bagaimana cara menganalisis dan membuat data tersebut dalam bentuk piktogram secara akurat.
b) Tuliskan hasil diskusi kelompokmu pada tabel berikut!
Kerjakan LKPD yang ada di soal berikut
Realice lo siguiente.
Space Science - Math
SS
Kerjakan worksheets berikut untuk mengingat kembali materi yang sudah kamu pelajari sebelum kamu mengukur kemampuanmu