✅ New: Give students instant feedback with Practice Mode 👉 Learn how
Operaciones combinadas
Most Popular
Newest
Oldest
A-Z
Z-A
Matemáticas
Refuerza el concomimiento sobre operaciones combinadas con estos ejercicios.
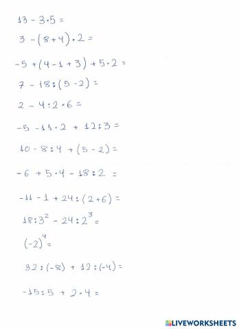
Resuelve los siguientes ejercicios.
Cálculos combinados en el conjunto de los Números Naturales
Problemas con operaciones combinadas
operaciones combinadas con numeros decimales, enteros y fracciones
LLEGA AL RESULTADO FINAL, RESOLVIENDO VARIAS OPERACIONES
Se elabora sumas y resta en un crucigrama.
Diviértete y conviértete en un protector del medio ambiente.
Resolver operaciones combinadas con números enteros
Desarrollar los siguientes ejercicios.
6°AÑO. IMEI.
EVALUACION SOBRE LAS OPERACIONES COMBINADAS
Resuelve las siguiente operaciones básicas.
Desarrolla cada problema según las operaciones matemáticas correspondientes
Resolveràn de izquiera a derecha las operaciones combinadas.
OPERACIONES DE SUMA, RESTA, multiplicación y división
opiunnjn ouunununun
Leccion para el parcial II
Operaciones combinadas de suma y resta.
Los alumnos pueden practicar ejercicios matemáticos de segundo grado.