Created by

Rosammfe
- Matemáticas
- Operaciones combinadas
- Age 12-16
-
level: 1 ESO
- Spanish
Author's Instructions
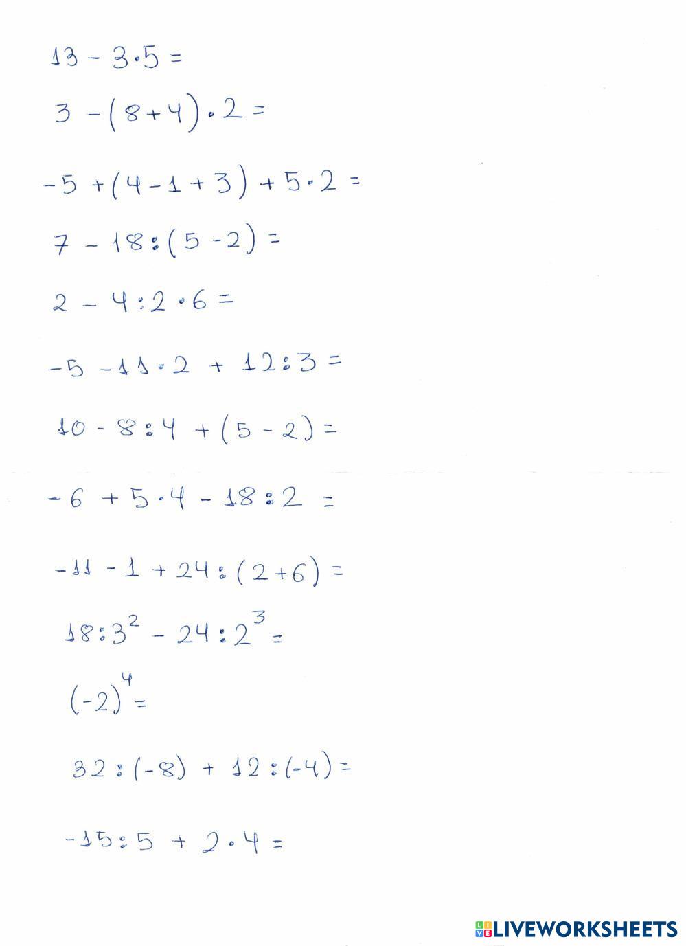
RELLENA LOS HUECOS CON LAS SOLUCIONES
Created by

Rosammfe
Author's Instructions
RELLENA LOS HUECOS CON LAS SOLUCIONES
Created by

level: 1 ESO
RELLENA LOS HUECOS CON LAS SOLUCIONES
Created by

RELLENA LOS HUECOS CON LAS SOLUCIONES