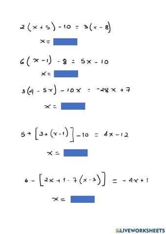
Ecuaciones primer grado, segundo grado y bicuadradas Ecuaciones primer grado, segundo grado y bicuadradas
Ecuaciones primer grado, segundo grado, bicuadradas e irracionales Ecuaciones primer grado, segundo grado, bicuadradas e irracionales