Created by

AMNAJPREM
-
คณิตศาสตร์
-
ฟังก์ชันตรีโกณมิติ
-
Age 15-18
-
level: 11
-
Thai
Author's Instructions
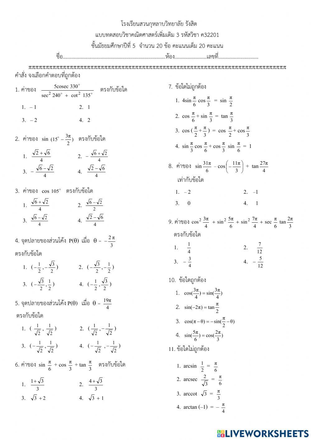
แบบฝึกหัดนี้เป็นส่วนหนึ่งวิชาคณิตศาสตร์เรื่อง ฟังก์ชันตรีโกณมิติ
Created by

AMNAJPREM
-
คณิตศาสตร์
-
ฟังก์ชันตรีโกณมิติ
-
Age 15-18
-
level: 11
-
Thai
Author's Instructions
แบบฝึกหัดนี้เป็นส่วนหนึ่งวิชาคณิตศาสตร์เรื่อง ฟังก์ชันตรีโกณมิติ
📚 New Feature: Share worksheets & get automatic grading via Google Classroom 🎓