Created by

Jureczek
-
Język polski jako obcy
-
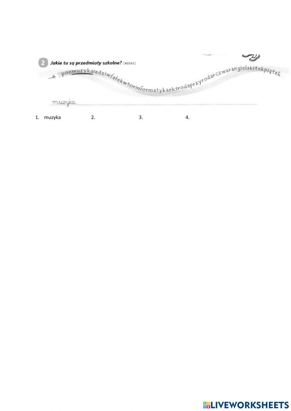
Jakie tu są przedmioty szkolne?
-
Age 8+
-
level: A1
-
Polish
Author's Instructions
Jakie tu są przedmioty szkolne?
Created by

Jureczek
-
Język polski jako obcy
-
Jakie tu są przedmioty szkolne?
-
Age 8+
-
level: A1
-
Polish
Author's Instructions
Jakie tu są przedmioty szkolne?
📚 New Feature: Share worksheets & get automatic grading via Google Classroom 🎓