Created by

solihahMG
-
sains
-
Soalan Objektif
-
Age 16-17
-
level: Tingkatan 4&5
-
Malay
Author's Instructions
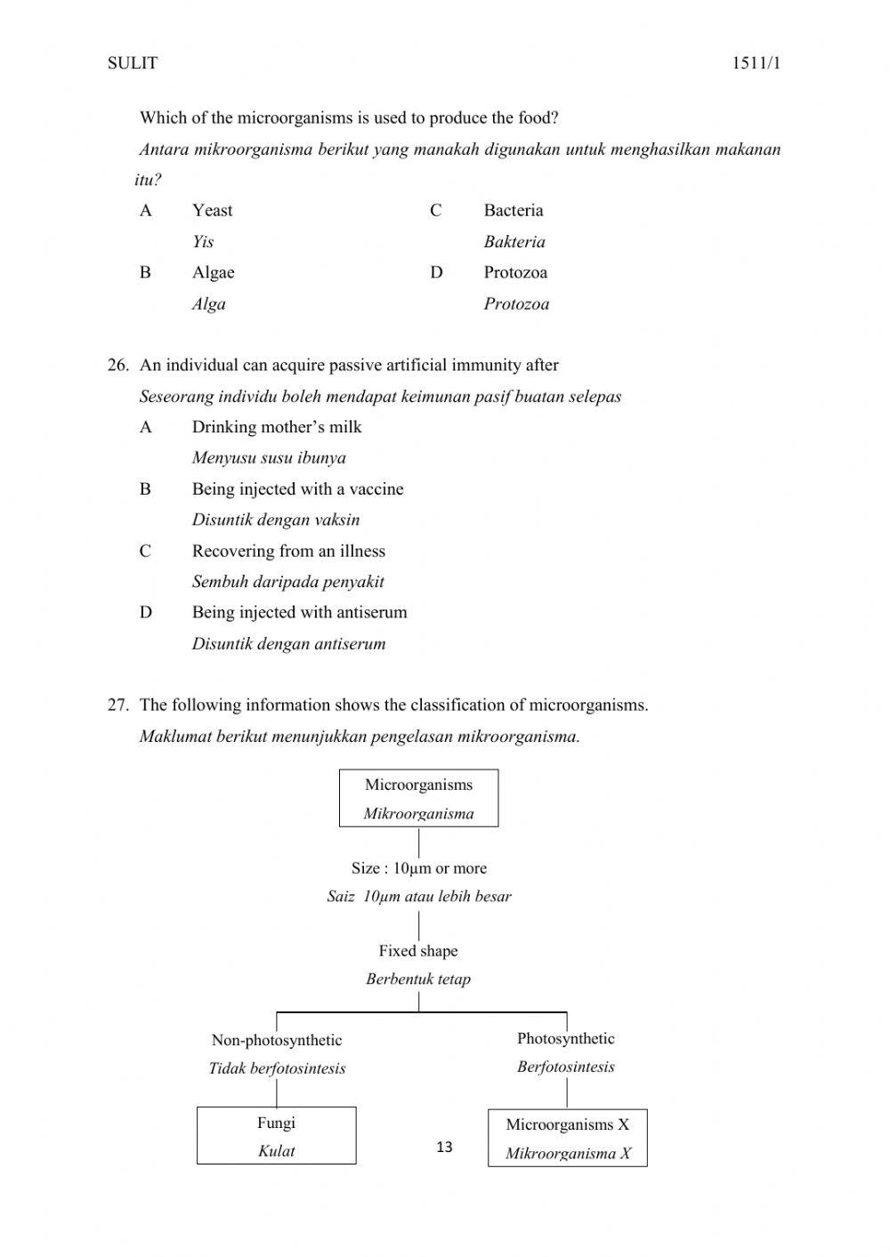
Tulis jawapan yang betul dalam kotak yang disediakan
Created by

solihahMG
-
sains
-
Soalan Objektif
-
Age 16-17
-
level: Tingkatan 4&5
-
Malay
Author's Instructions
Tulis jawapan yang betul dalam kotak yang disediakan
📚 New Feature: Share worksheets & get automatic grading via Google Classroom 🎓