-
Bahasa Melayu (BM)
-
Kesalahan ejaan
-
Age 13-15
-
level: TINGKATAN 1 DAN 2
-
Malay
Author's Instructions
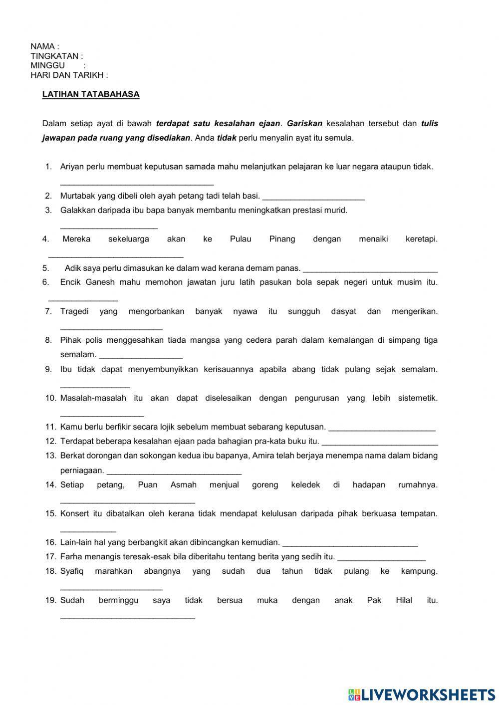
Dalam setiap ayat di bawah terdapat satu kesalahan ejaan. Gariskan kesalahan tersebut dan tulis jawapan pada ruang yang disediakan. Anda tidak perlu menyalin ayat itu semula.
-
Bahasa Melayu (BM)
-
Kesalahan ejaan
-
Age 13-15
-
level: TINGKATAN 1 DAN 2
-
Malay
Author's Instructions
Dalam setiap ayat di bawah terdapat satu kesalahan ejaan. Gariskan kesalahan tersebut dan tulis jawapan pada ruang yang disediakan. Anda tidak perlu menyalin ayat itu semula.
📚 New Feature: Share worksheets & get automatic grading via Google Classroom 🎓
