-
Көрсеткіштік теңдеу
-
Теңдеу
-
Age 14+
-
level: 11
-
Kazakh
Author's Instructions
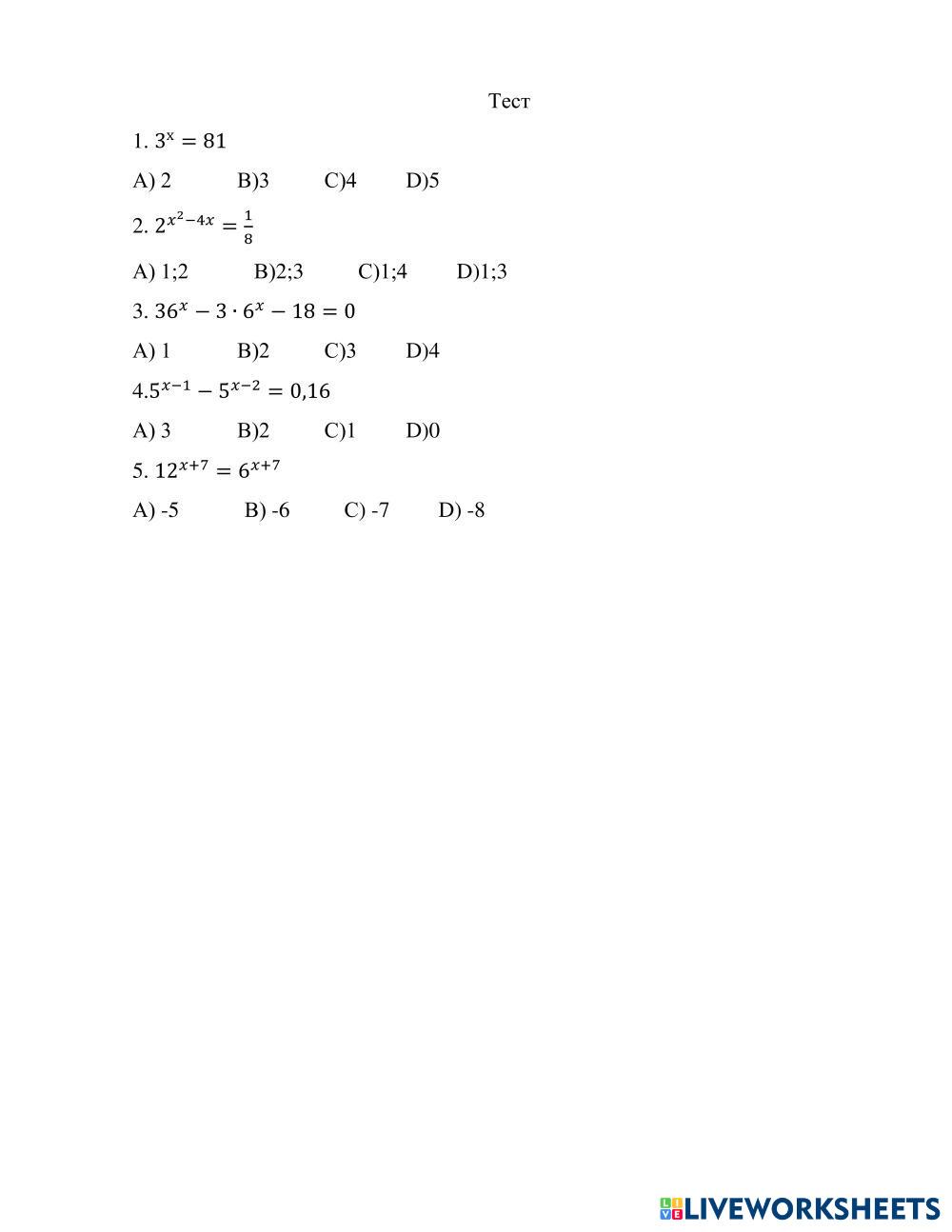
Тест
-
Көрсеткіштік теңдеу
-
Теңдеу
-
Age 14+
-
level: 11
-
Kazakh
Author's Instructions
Тест
📚 New Feature: Share worksheets & get automatic grading via Google Classroom 🎓
