Created by

arikaindahkristiana
-
Math
-
High School
-
12th grade
-
Calculus and Advanced Math Concepts
-
Indonesian
Author's Instructions
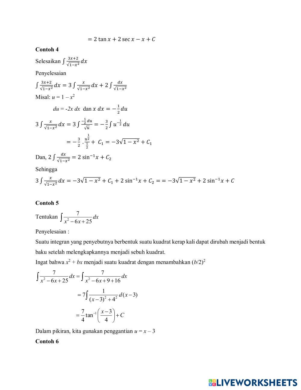
Silahkan kerjakan Lembar Kerja berikut (LKM 02)
Created by

arikaindahkristiana
-
Math
-
High School
-
12th grade
-
Calculus and Advanced Math Concepts
-
Indonesian
Author's Instructions
Silahkan kerjakan Lembar Kerja berikut (LKM 02)
Explore Worksheets
E-LKPD MEMBACA LATERAL
- Math
- 12th grade
Funciones
- Math
- 12th grade
FRACCIONES Y PORCENTAJE
- Math
- 12th grade
LKPD Interaktif: Bunga Tunggal dalam Kehidupan Sehari-hari
- Math
- 12th grade
š New Feature: Share worksheets & get automatic grading via Google Classroom š