Created by

yuni_dewi
-
Matematika
-
Persamaan Kuadrat
-
Age 15+
-
level: 10
-
Indonesian
Author's Instructions
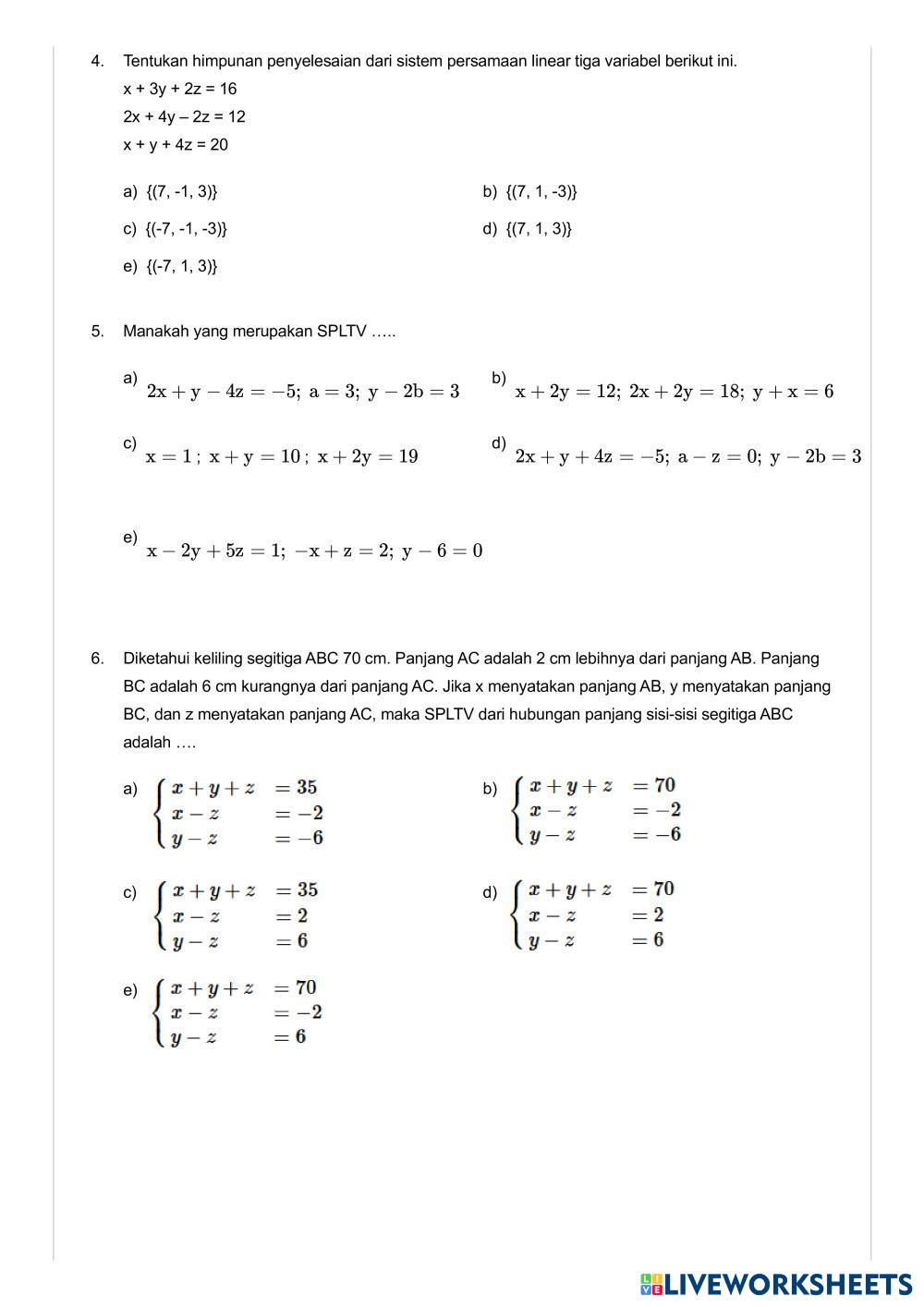
Asesmen Sumatif Tengah Semester Genap
Tahun Pelajaran 2023/2024
Materi: SPLTV dan Persamaan Kuadrat
Created by

yuni_dewi
-
Matematika
-
Persamaan Kuadrat
-
Age 15+
-
level: 10
-
Indonesian
Author's Instructions
Asesmen Sumatif Tengah Semester Genap
Tahun Pelajaran 2023/2024
Materi: SPLTV dan Persamaan Kuadrat
📚 New Feature: Share worksheets & get automatic grading via Google Classroom 🎓