Created by

nasuke_matematika
- Matematika
- Persamaan garis lurus
- Age 8
-
level: Kelas 8
- Indonesian
Author's Instructions
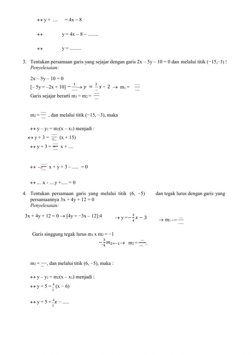
Persamaan garis lurus materi kelas 8 SMP/MTs
Created by

nasuke_matematika
Author's Instructions
Persamaan garis lurus materi kelas 8 SMP/MTs