-
Français Langue Étrangère (FLE)
-
Grammaire
-
Age 10+
-
level: 11
-
French
Author's Instructions
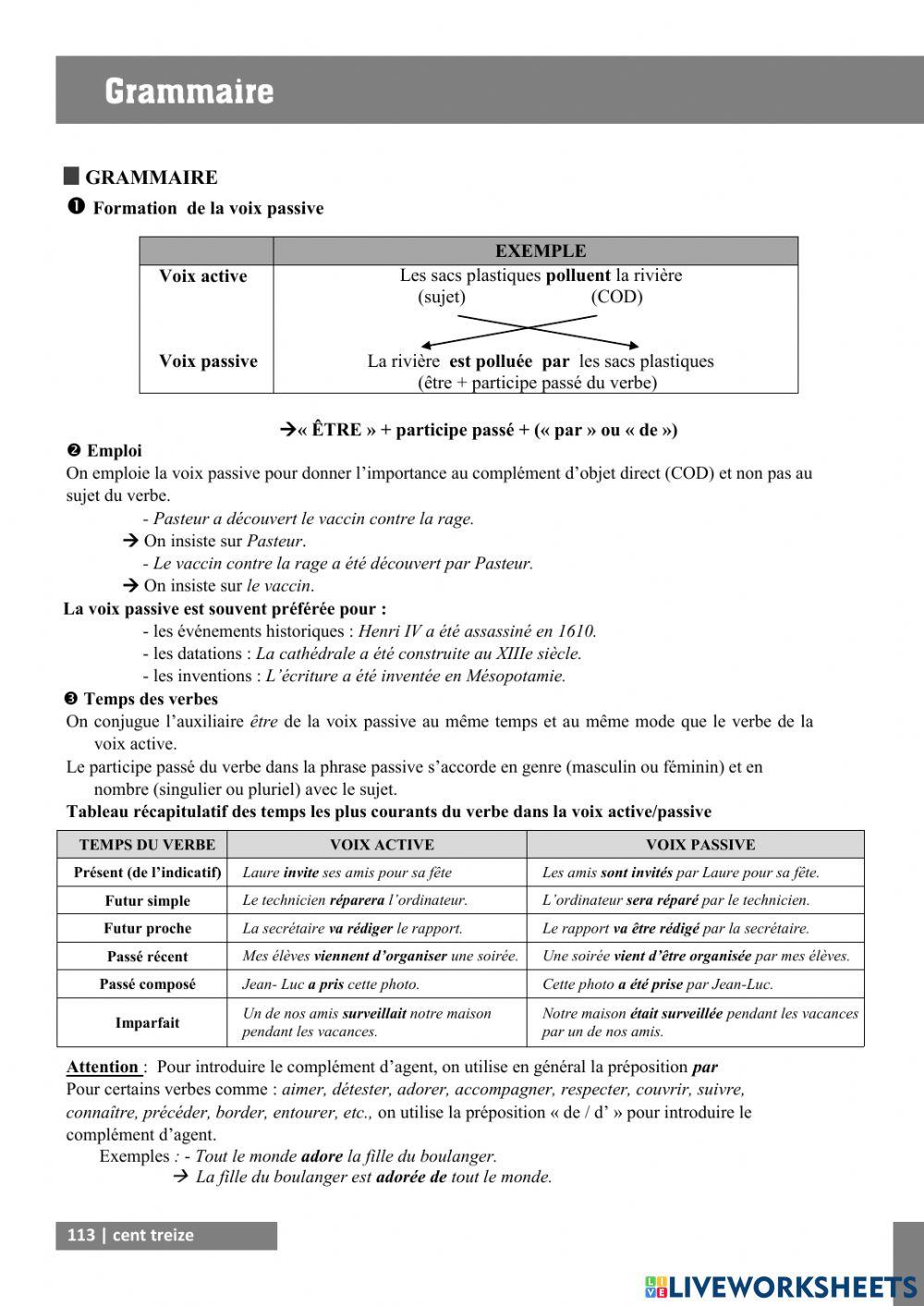
voix active, voix passive
-
Français Langue Étrangère (FLE)
-
Grammaire
-
Age 10+
-
level: 11
-
French
Author's Instructions
voix active, voix passive
📚 New Feature: Share worksheets & get automatic grading via Google Classroom 🎓
