-
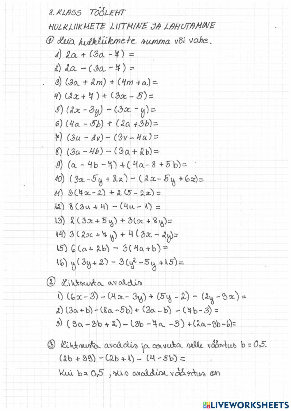
Hulkliikmed
-
Hulkliikmed
-
Age 14+
-
level: 8
-
Estonian
Author's Instructions
Hulkliimete liitmine ja lahutamine
-
Hulkliikmed
-
Hulkliikmed
-
Age 14+
-
level: 8
-
Estonian
Author's Instructions
Hulkliimete liitmine ja lahutamine
📚 New Feature: Share worksheets & get automatic grading via Google Classroom 🎓
