-
Math
-
High School
-
10th grade
-
Calculus and Advanced Math Concepts
-
Spanish
Author's Instructions
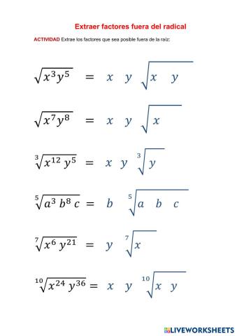
Convierte los radicales en potencias con exponente racional, y las potencias con exponente racional en radicales
-
Math
-
High School
-
10th grade
-
Calculus and Advanced Math Concepts
-
Spanish
Author's Instructions
Convierte los radicales en potencias con exponente racional, y las potencias con exponente racional en radicales
Explore Worksheets
UD03 WS02 Potencias y Radicales
- Math
- 10th grade
Fungsi Eksponen
- Math
- 10th grade
