Created by

ANGELESCH
-
Matemáticas
-
Ecuaciones de primer grado
-
Age 12-13
-
level: 2º ESO
-
Spanish
Author's Instructions
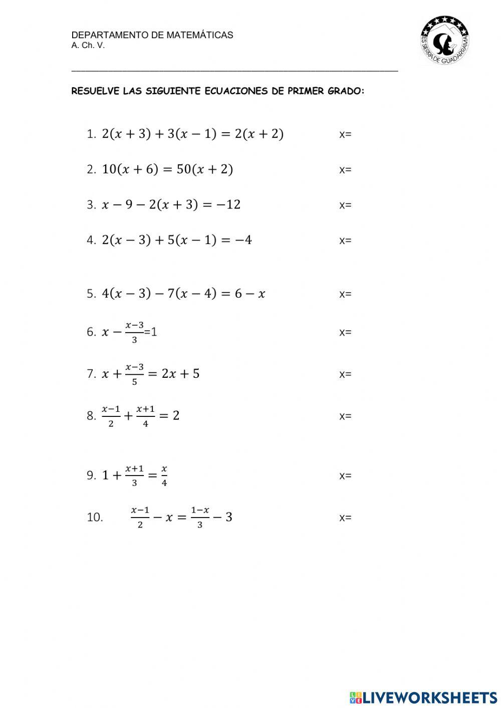
Ecuaciones de Primer grado con paréntesis y denominadores
Created by

ANGELESCH
-
Matemáticas
-
Ecuaciones de primer grado
-
Age 12-13
-
level: 2º ESO
-
Spanish
Author's Instructions
Ecuaciones de Primer grado con paréntesis y denominadores
📚 New Feature: Share worksheets & get automatic grading via Google Classroom 🎓