-
Matemáticas
-
Polinomios
-
Age 12-15
-
level: Octavo
-
Spanish
Author's Instructions
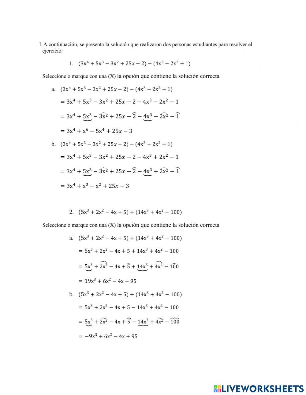
Ejercicios donde deben seleccionar cuál de los dos procedimientos es correcto
-
Matemáticas
-
Polinomios
-
Age 12-15
-
level: Octavo
-
Spanish
Author's Instructions
Ejercicios donde deben seleccionar cuál de los dos procedimientos es correcto
📚 New Feature: Share worksheets & get automatic grading via Google Classroom 🎓
