-
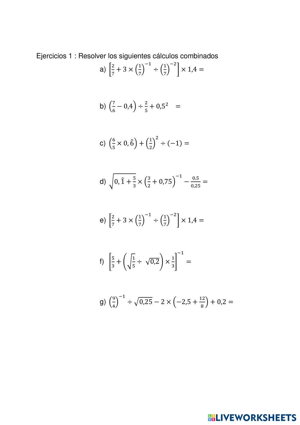
mate calculos combinados 2
-
Mate combinados
-
Age 12-16
-
level: ciclo básico
-
Spanish
Author's Instructions
-
mate calculos combinados 2
-
Mate combinados
-
Age 12-16
-
level: ciclo básico
-
Spanish
📚 New Feature: Share worksheets & get automatic grading via Google Classroom 🎓
