Created by

cesar_loo_angulo
- CIENCIA Y TECNOLOGIA
- Nomenclatura de alquenos
- Age 13-15
-
level: TERCERO DE SECUNDARIA
- Spanish
Author's Instructions
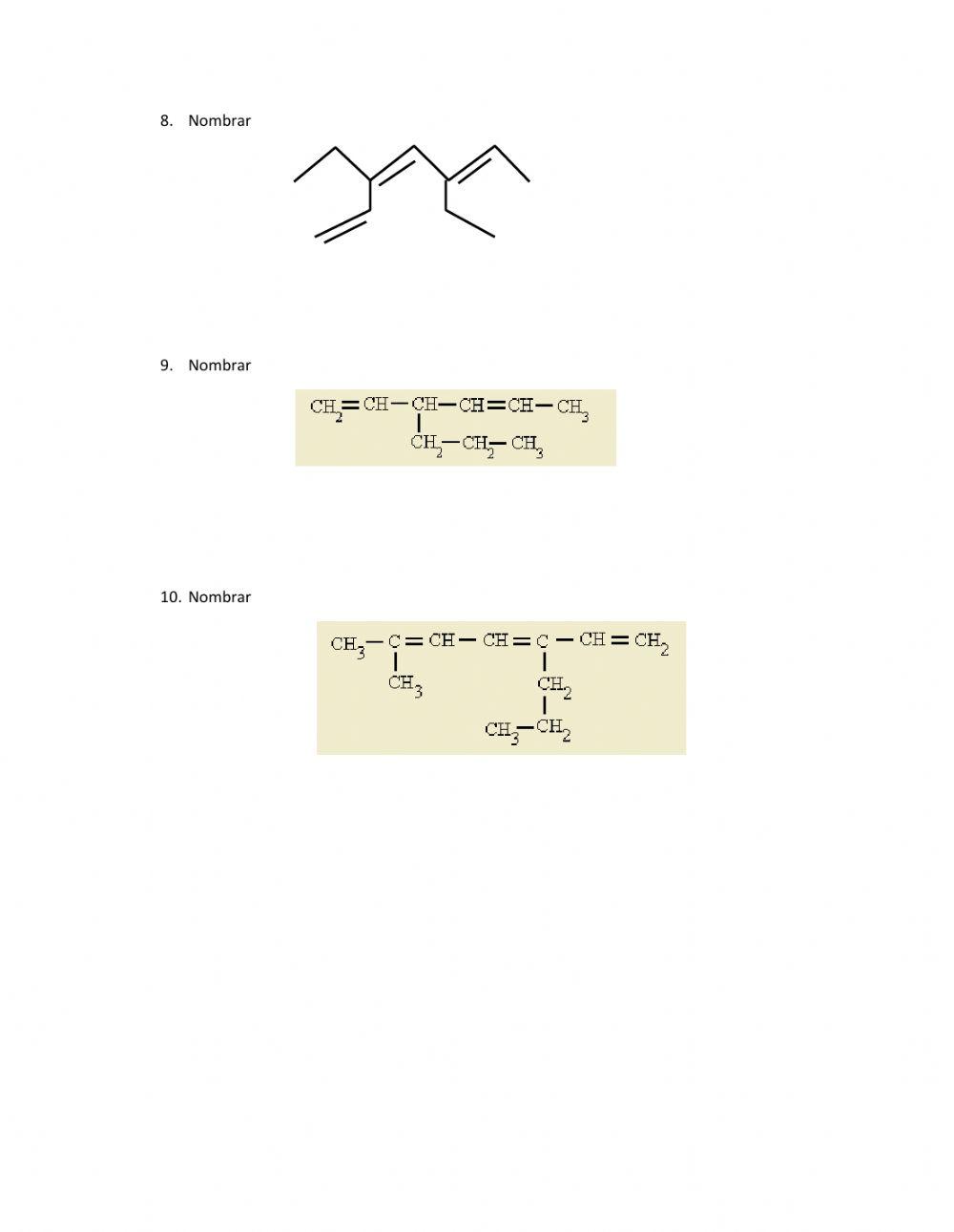
PRACTICA CALIFICADA
Created by

cesar_loo_angulo
Author's Instructions
PRACTICA CALIFICADA