-
IELTS
-
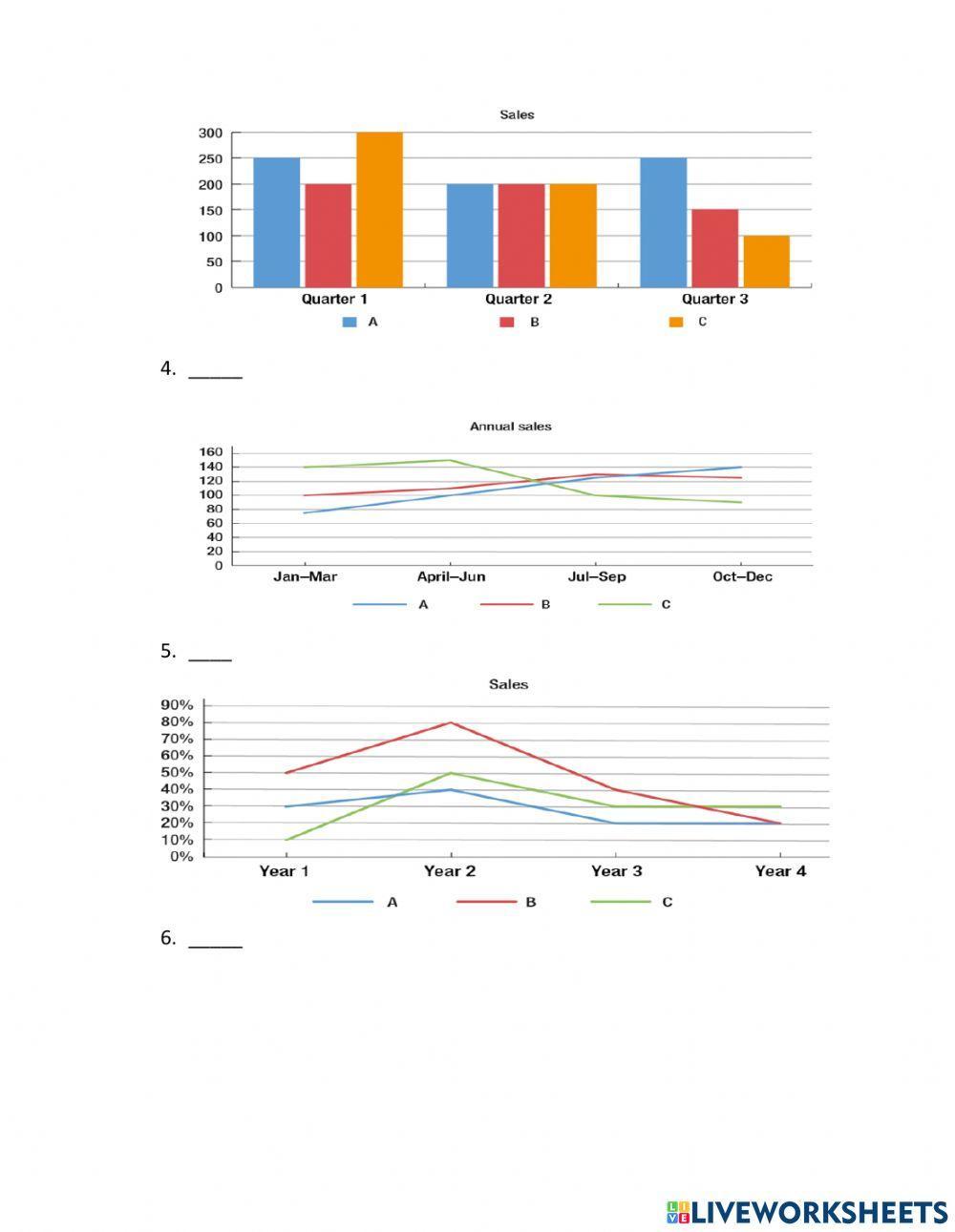
Graph description
-
Age 18+
-
level: Elementary
-
English
Author's Instructions
A practice of listening for details about graph.
-
IELTS
-
Graph description
-
Age 18+
-
level: Elementary
-
English
Author's Instructions
A practice of listening for details about graph.
📚 New Feature: Share worksheets & get automatic grading via Google Classroom 🎓
