Midterm test 2.2568

Play Free Games On RosiMosi
  • English Language

  • High School

  • 10th grade

  • Reading Comprehension

  • English

Author's Instructions

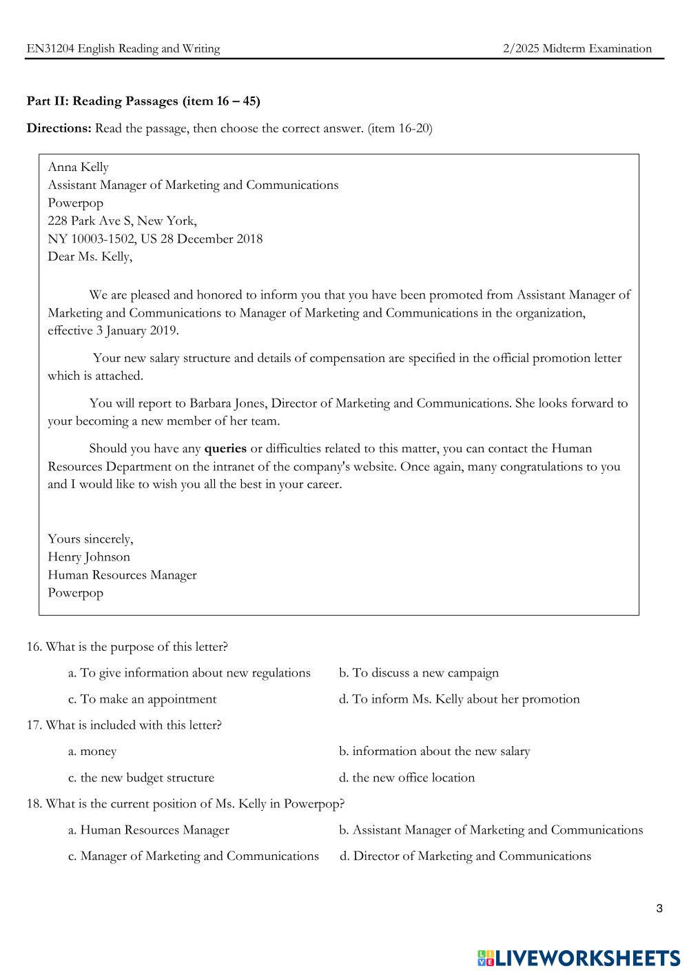
Choose the best answer.