-
Matemàtiques
-
Divisions
-
Age 12-16
-
level: 3r ESO
-
Catalan
Author's Instructions
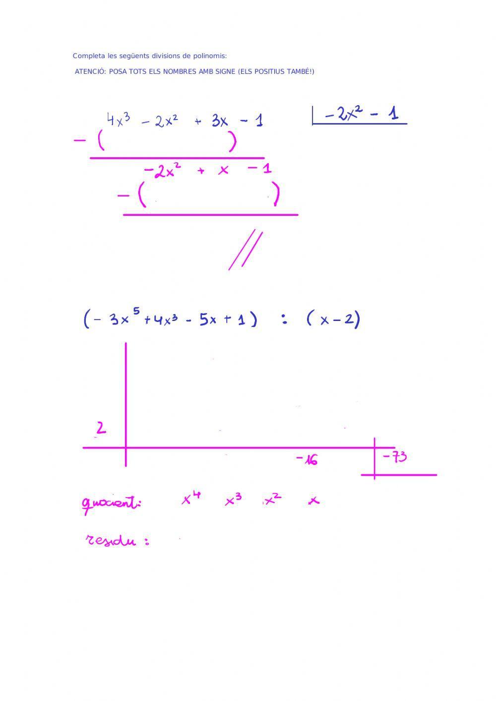
Una divisió amb caixa i altra per el mètode de Ruffini
-
Matemàtiques
-
Divisions
-
Age 12-16
-
level: 3r ESO
-
Catalan
Author's Instructions
Una divisió amb caixa i altra per el mètode de Ruffini
📚 New Feature: Share worksheets & get automatic grading via Google Classroom 🎓
