-
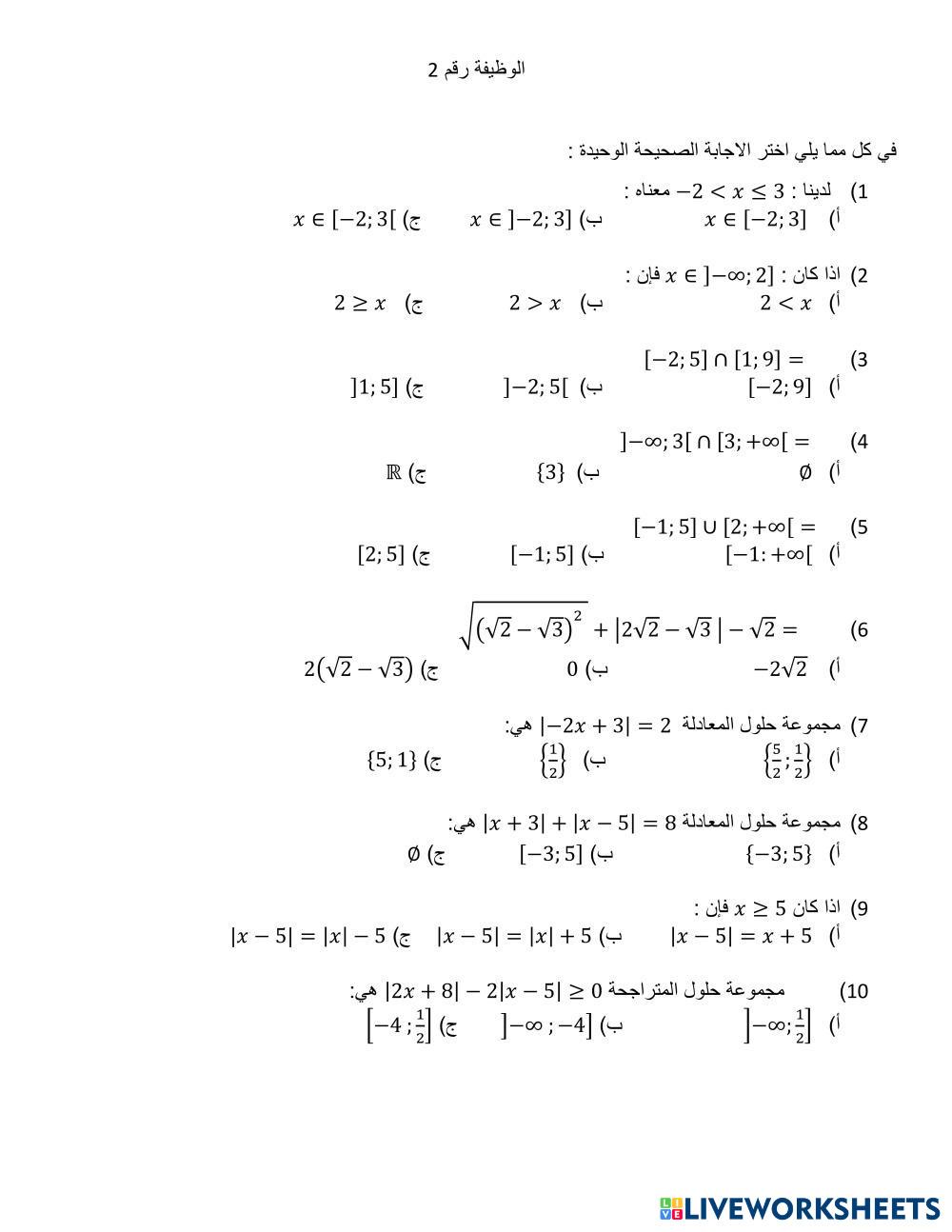
maths
-
les intervalles
-
Age 14+
-
level: سنة أولى ثانوي
-
Arabic
Author's Instructions
-
maths
-
les intervalles
-
Age 14+
-
level: سنة أولى ثانوي
-
Arabic
📚 New Feature: Share worksheets & get automatic grading via Google Classroom 🎓
