อยากได้แบบฝึกหัดฟรีนับพัน (ไม่มีสิ่งรบกวนเลย)? Here’s how
Polinomis
ได้รับความนิยมมากที่สุด
Newest
Oldest
A-Z
Z-A
Matemàtiques
Activitats polinomis
uneix els monomis semblants
Sumar i restar dos polinomis de grau 2.
Cálculo amb potències
Test de Polinomis
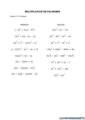
Multiplicació de polinomis
Troba el valor numèric dels polinomis següents
Divisió de polinomis