อยากได้แบบฝึกหัดฟรีนับพัน (ไม่มีสิ่งรบกวนเลย)? Here’s how
ได้รับความนิยมมากที่สุด
Newest
Oldest
A-Z
Z-A
Matemàtiques
Exercicis sobre números, multiplicacions, fraccions...
recordem les fraccions i busquem el nombre
Relacionar la fracció amb el seu dibuix
Comparació de fraccions
Fitxa per treballar la resta de fraccions.
Redueix les fraccions fins a la fracció irreductible
Exercicis de repàs de fraccions
problemes i operacions amb fraccions
Comprendre les fraccions
Algebra - Math
Operacions de suma i resta de fraccions
Control Fraccion
Representació del nombre mixte
Fraccions - cicle mitjà
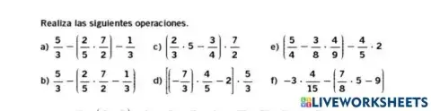
Operacions amb fraccions
Fitxa per treballar la suma de fraccions.
suma i resta de fraccions amb diferent denominador
Exercicis per passar de fracció a nombre natural o decimal.
RElacionar fraccions-dibuix
Operacions combinades amb fraccions
Relaciona dibuix amb fracció
Fraccions comparades amb la unitat. Fraccions equivalents
Treballem les fraccions mitjançant les monedes.
Exercicis finals del tema fraccions sisè amb una mica de càlcul per complementar la prova.
Fració equivalent, fracció irreductible, fracció d'un nombre