อยากได้แบบฝึกหัดฟรีนับพัน (ไม่มีสิ่งรบกวนเลย)? Here’s how
Buruzko Kalkulua
ได้รับความนิยมมากที่สุด
Newest
Oldest
A-Z
Z-A
Matematika
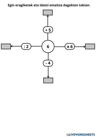
Ondorengo eragiketak buruz ebatzi.
Hutsuneak bete