อยากได้แบบฝึกหัดฟรีนับพัน (ไม่มีสิ่งรบกวนเลย)? Here’s how
ได้รับความนิยมมากที่สุด
Newest
Oldest
A-Z
Z-A
Lenguaje y comunicación
tarea de sintesis de fonemas
Guía evaluada de lenguaje y comunicación.
ficha de análisis y reflexión
Emparejar las vocales y sus dibujos
Lectura global por sílabas
Lectura de mitos
Diferenciar Mitos y Leyendas
Segunda actividad
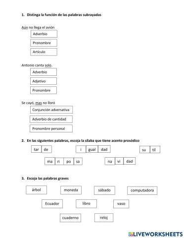
EVALUACIÓN DE LENGUAJE CONTENIDO DEL PRIMER PARCIAL SEGUNDO QUIMESTRE
Conocer los tipos de acento la clasificacion de las palabras por el acento
Comprensión de un poema
INFOXICACION
Razonamiento verbal
CREAR UNA NOTICIA
Coloca cada palabra derivada debajo de su original
Trabajo para trabajar los elementos de la historieta
Seleccionar alternativas correctas
Guia para reforzar
Afiche y sus partes
dictado de palabras
Uso de la consonante Y griega
Actividades enfocadas a la comprensión lectora
FICHA PARA LA ESCRITURA DE ORACIONES SIMPLES.
Palabras que empiezan con B