Created by

Rodado_marort
-
Matemàtiques
-
Cálculo mental
-
Age 7-9
-
level: Segundo primaria
-
Valencian
คำแนะนำของผู้เขียน
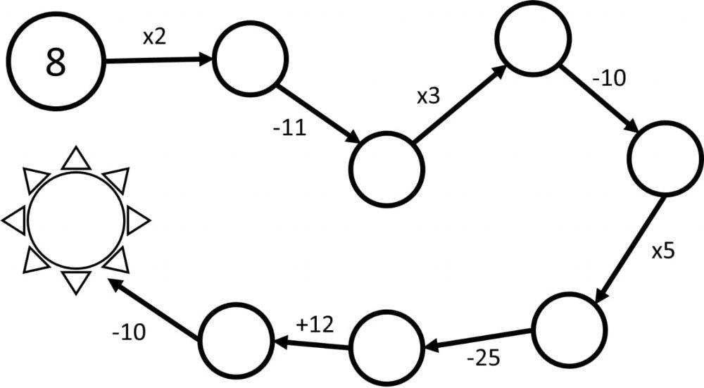
Cal seguir les indicacions de les fletxes per anar obtenint els diferents resultats.
Created by

Rodado_marort
-
Matemàtiques
-
Cálculo mental
-
Age 7-9
-
level: Segundo primaria
-
Valencian
คำแนะนำของผู้เขียน
Cal seguir les indicacions de les fletxes per anar obtenint els diferents resultats.
อยากได้แบบฝึกหัดฟรีนับพัน (ไม่มีสิ่งรบกวนเลย)?