-
Geography
-
Diagnostikas darbs
-
Age 15-18
-
level: 10-12.klase
-
Latvian
คำแนะนำของผู้เขียน
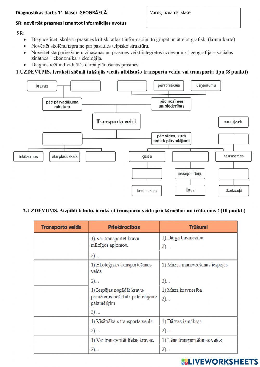
Transports, transporta veidi, priekšrocības, trūkumi, SVID analīze
-
Geography
-
Diagnostikas darbs
-
Age 15-18
-
level: 10-12.klase
-
Latvian
คำแนะนำของผู้เขียน
Transports, transporta veidi, priekšrocības, trūkumi, SVID analīze
อยากได้แบบฝึกหัดฟรีนับพัน (ไม่มีสิ่งรบกวนเลย)?