-
คณิตศาสตร์
-
มัธยมศึกษาตอนปลาย
-
ม.5 (มัธยมศึกษาปีที่ 5)
-
พีชคณิต
-
Indonesian
คำแนะนำของผู้เขียน
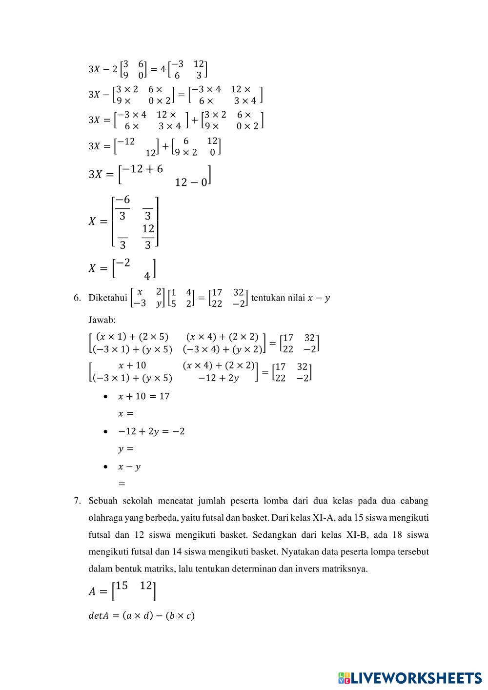
Kerjakan Soal Remedi UH dengan baik dan benar!
-
คณิตศาสตร์
-
มัธยมศึกษาตอนปลาย
-
ม.5 (มัธยมศึกษาปีที่ 5)
-
พีชคณิต
-
Indonesian
คำแนะนำของผู้เขียน
Kerjakan Soal Remedi UH dengan baik dan benar!
สำรวจแผ่นงาน
المتتابعات بوصفها دوال
- Math
- 11th grade
Fisa de lucru - problema rucsacului
- Math
- 11th grade
การประยุกต์ใช้อนุกรมเลขคณิตในชีวิตประจำวัน
- Math
- 11th grade
อยากได้แบบฝึกหัดฟรีนับพัน (ไม่มีสิ่งรบกวนเลย)?
