Created by

AbdulMunir
- Math 9
- Math Bil Pangkat
- Age 13-16
-
level: 9
- Indonesian
คำแนะนำของผู้เขียน
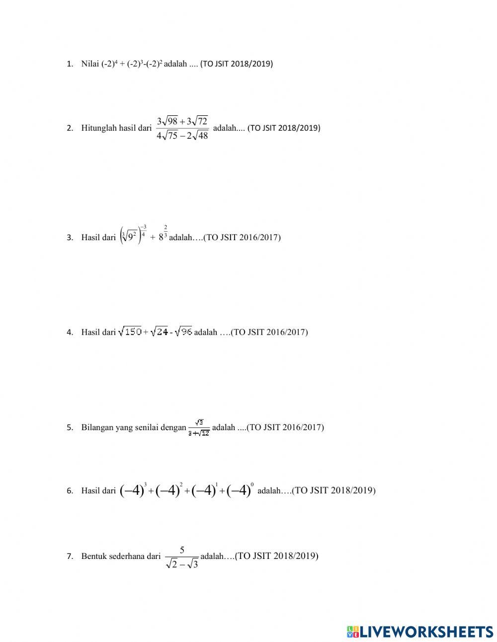
Tugas Akhir Bilangan Berpangkat
Created by

AbdulMunir
คำแนะนำของผู้เขียน
Tugas Akhir Bilangan Berpangkat
Created by

level: 9
Tugas Akhir Bilangan Berpangkat
Created by

Tugas Akhir Bilangan Berpangkat