-
Matematika
-
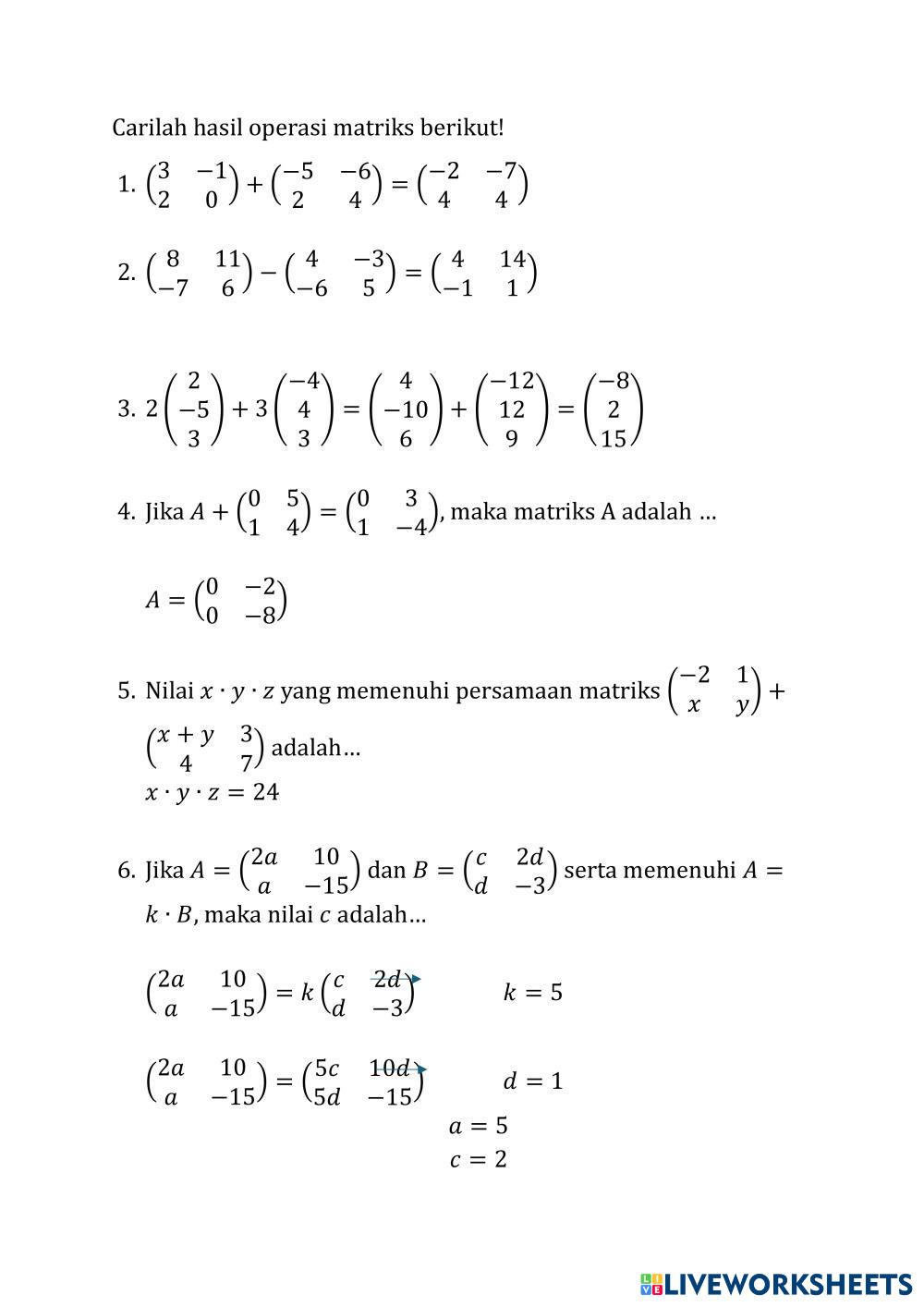
Penjumlahan dan Pengurangan Matriks
-
Age 15+
-
level: 10
-
Indonesian
คำแนะนำของผู้เขียน
Operasi penjumlahan dan pengurangan pada matriks
-
Matematika
-
Penjumlahan dan Pengurangan Matriks
-
Age 15+
-
level: 10
-
Indonesian
คำแนะนำของผู้เขียน
Operasi penjumlahan dan pengurangan pada matriks
อยากได้แบบฝึกหัดฟรีนับพัน (ไม่มีสิ่งรบกวนเลย)?
