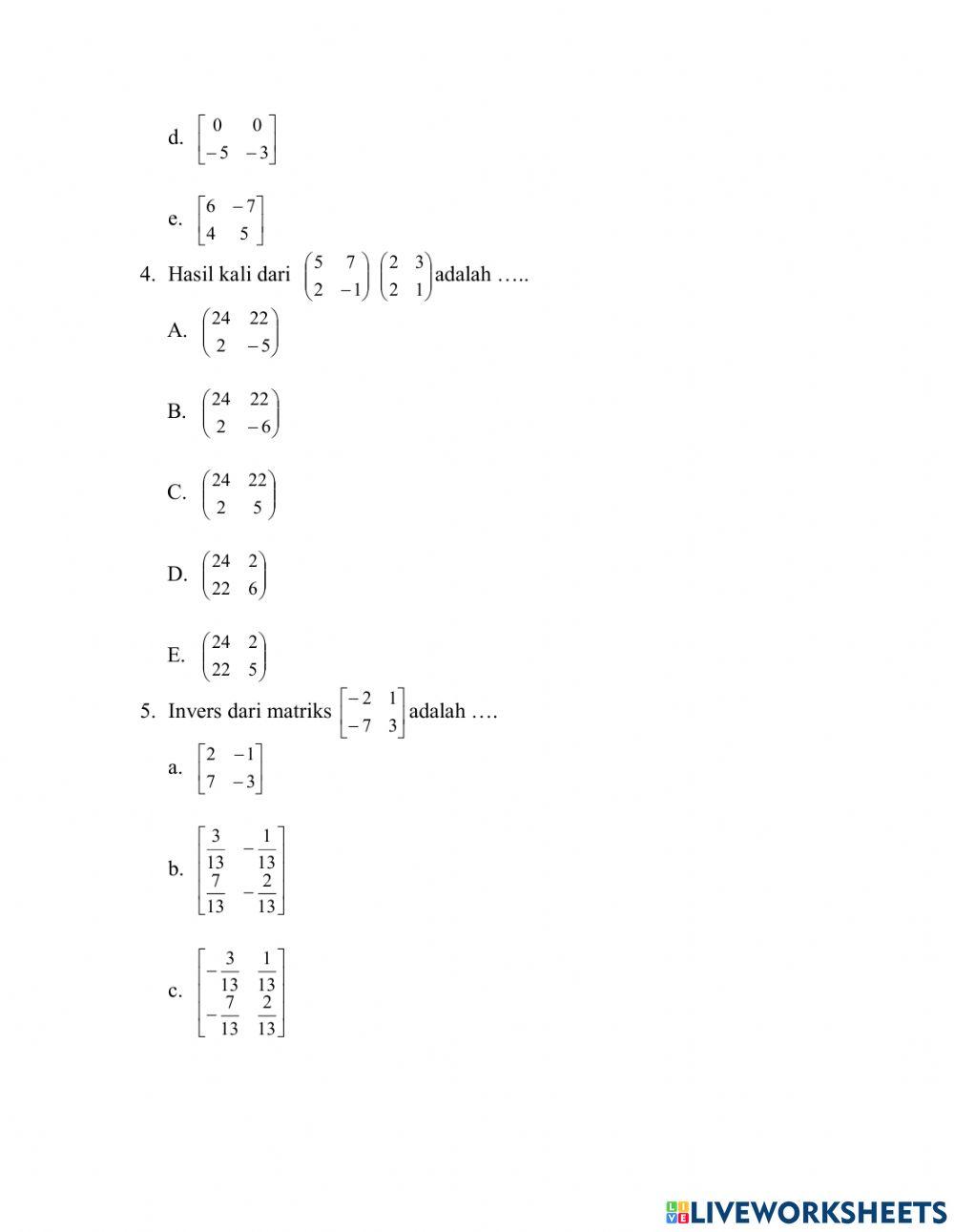
Created by RinyKurniati MATEMATIKA Persamaan Kuadrat Age 14+ level: 1 Indonesian คำแนะนำของผู้เขียน My Google Classroom Courses × 0 classes selected (0 students total) Quick Access Select all classes (0 classes) All Classes Loading courses... ยกเลิก Share Share to selected Course __COURSE_NAME__ __STUDENT_NAME__ (__STUDENT_EMAIL__) LKPD PERSAMAAN KUADRAT ดาวน์โหลด Worksheet Validation Check my answers Emails my answers to my teacher ชื่อเต็ม Group/level School subject Teacher's email or key code Close ส่งข้อมูล Validating worksheet... (12) Your answers have been sent to your teacher. Good luck! OK We encountered an error submitting your answers. Please try again. OK โฆษณา | ใช้งานแบบไม่มีโฆษณา Created by RinyKurniati MATEMATIKA Persamaan Kuadrat Age 14+ level: 1 Indonesian คำแนะนำของผู้เขียน