Created by

Dominiqueg
-
Mathématiques
-
Calculs
-
Age 11-14
-
level: secondaire 1
-
French
คำแนะนำของผู้เขียน
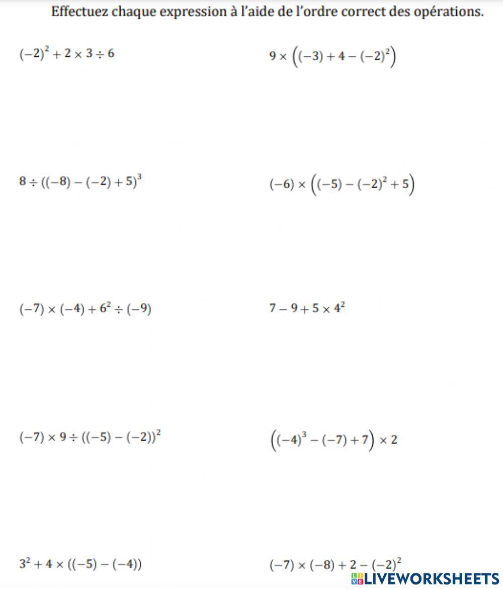
Calcul de chaînes d'opérations à 4 étapes avec entiers positifs et négatifs.
Created by

Dominiqueg
-
Mathématiques
-
Calculs
-
Age 11-14
-
level: secondaire 1
-
French
คำแนะนำของผู้เขียน
Calcul de chaînes d'opérations à 4 étapes avec entiers positifs et négatifs.
อยากได้แบบฝึกหัดฟรีนับพัน (ไม่มีสิ่งรบกวนเลย)?