-
คณิตศาสตร์
-
มัธยมศึกษาตอนปลาย
-
ม.5 (มัธยมศึกษาปีที่ 5)
-
ตรีโกณมิติ
-
Spanish
คำแนะนำของผู้เขียน
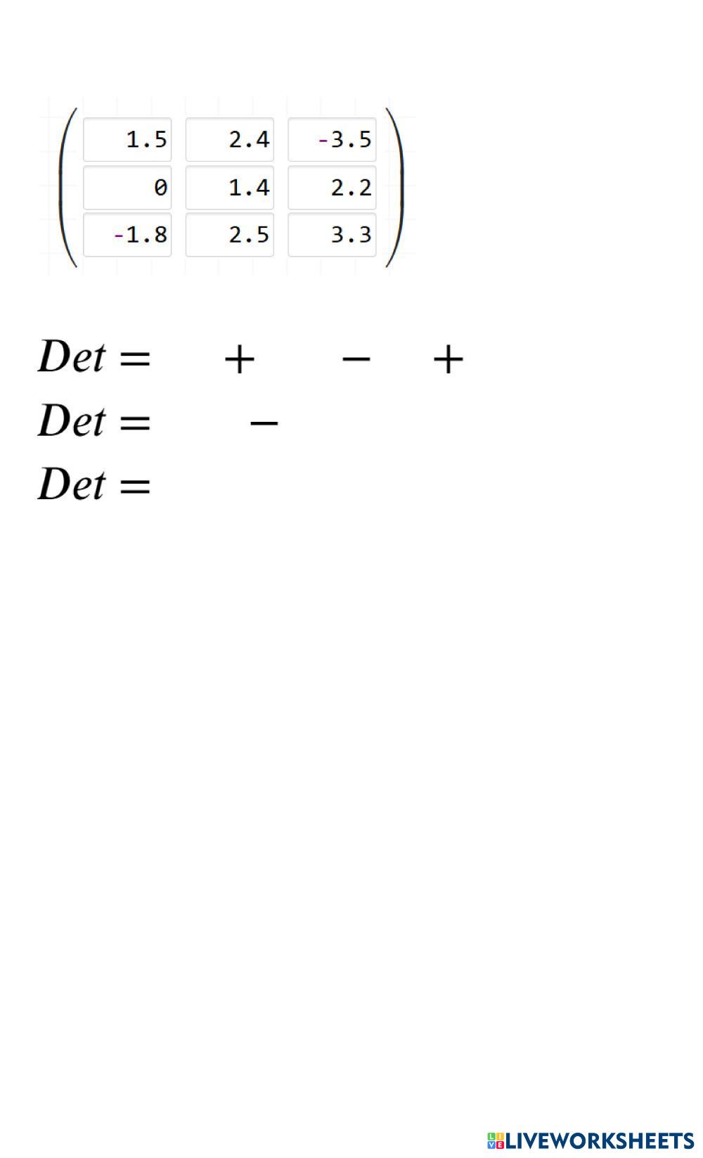
DETERMINANTES 2x2 y 3x3
-
คณิตศาสตร์
-
มัธยมศึกษาตอนปลาย
-
ม.5 (มัธยมศึกษาปีที่ 5)
-
ตรีโกณมิติ
-
Spanish
คำแนะนำของผู้เขียน
DETERMINANTES 2x2 y 3x3
สำรวจแผ่นงาน
circle unit
- Math
- 11th grade
ok
- Math
- 11th grade
LKPD Aturan Sinus dan Cosinus - SMA Perguruan Buddhi
- Math
- 11th grade
อยากได้แบบฝึกหัดฟรีนับพัน (ไม่มีสิ่งรบกวนเลย)?
