Created by
AndresGR
-
คณิตศาสตร์
-
มัธยมศึกษาตอนต้น
-
ม.1 (มัธยมศึกษาปีที่ 1)
-
อัตราส่วนและอัตราส่วนสัดส่วน
-
Spanish
คำแนะนำของผู้เขียน
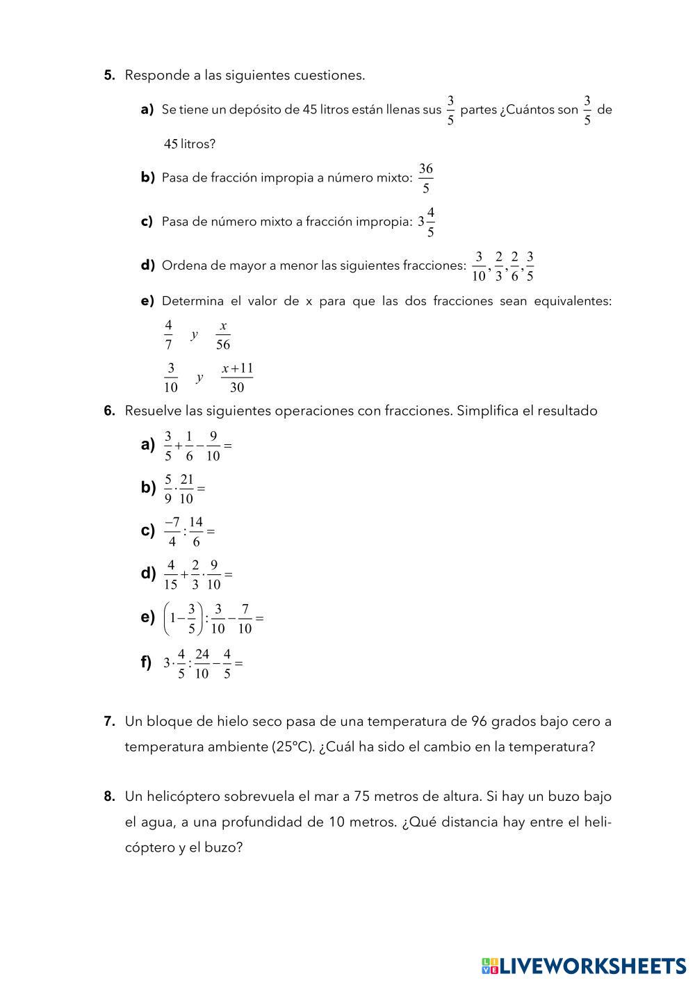
En esta ficha encontrarás ejercicios de enteros, potencias y fracciones
Created by
AndresGR
-
คณิตศาสตร์
-
มัธยมศึกษาตอนต้น
-
ม.1 (มัธยมศึกษาปีที่ 1)
-
อัตราส่วนและอัตราส่วนสัดส่วน
-
Spanish
คำแนะนำของผู้เขียน
En esta ficha encontrarás ejercicios de enteros, potencias y fracciones
สำรวจแผ่นงาน
5. Bunga Tabungan
- Math
- 7th grade
4. Bruto, Netto, dan Tara
- Math
- 7th grade
3. Diskon (Rabat) dan Pajak
- Math
- 7th grade
3. Diskon (Rabat) dan Pajak
- Math
- 7th grade
อยากได้แบบฝึกหัดฟรีนับพัน (ไม่มีสิ่งรบกวนเลย)?