คำแนะนำของผู้เขียน
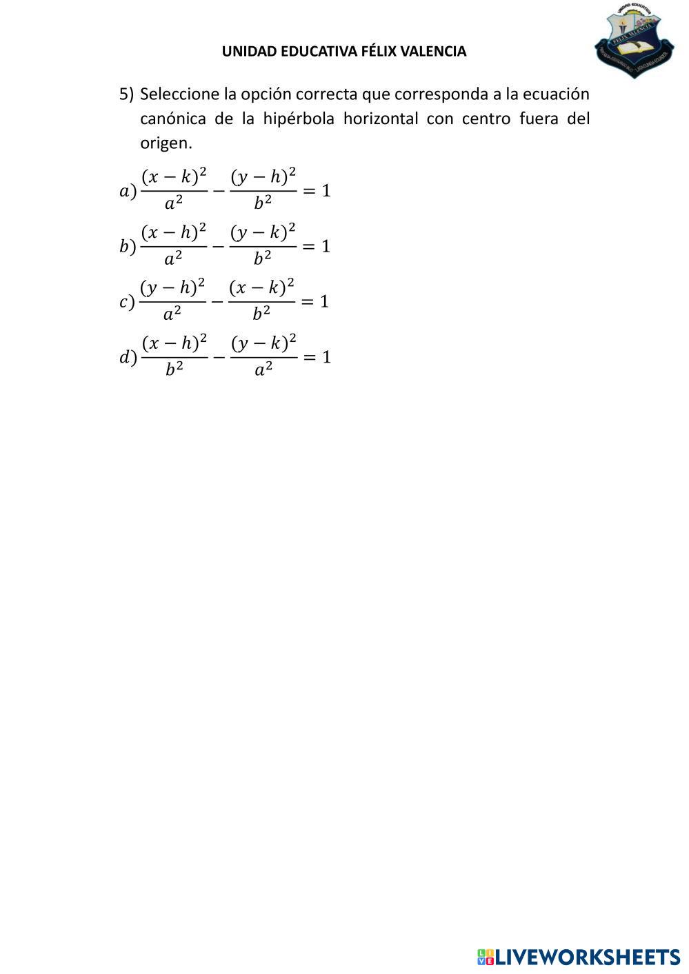
TRABAJAR CON EL TEMA DE LA HIPERBOLA
คำแนะนำของผู้เขียน
TRABAJAR CON EL TEMA DE LA HIPERBOLA
สำรวจแผ่นงาน
Bài 1: Hàm số
- Math
- 12th grade
LKPD KELILING DAN LUAS LINGKARAN
- Math
- 12th grade
Pertemuan 3: Volume Balok dan Penerapannya
- Math
- 12th grade
