-
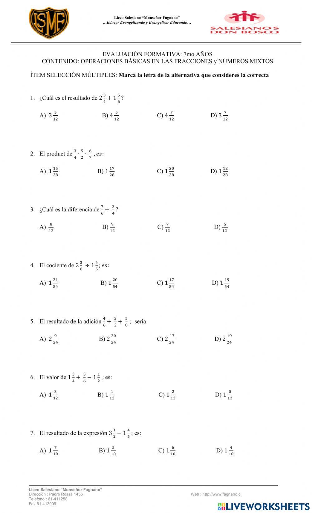
Matemáticas
-
Operatorias con fracciones y números mixtos
-
Age 12-13
-
level: 7º año Básico
-
Spanish
คำแนะนำของผู้เขียน
Deben sumar, restar, multiplicar y dividir fracciones con distinto denominador y números mixtos.
-
Matemáticas
-
Operatorias con fracciones y números mixtos
-
Age 12-13
-
level: 7º año Básico
-
Spanish
คำแนะนำของผู้เขียน
Deben sumar, restar, multiplicar y dividir fracciones con distinto denominador y números mixtos.
อยากได้แบบฝึกหัดฟรีนับพัน (ไม่มีสิ่งรบกวนเลย)?
