-
Matemáticas
-
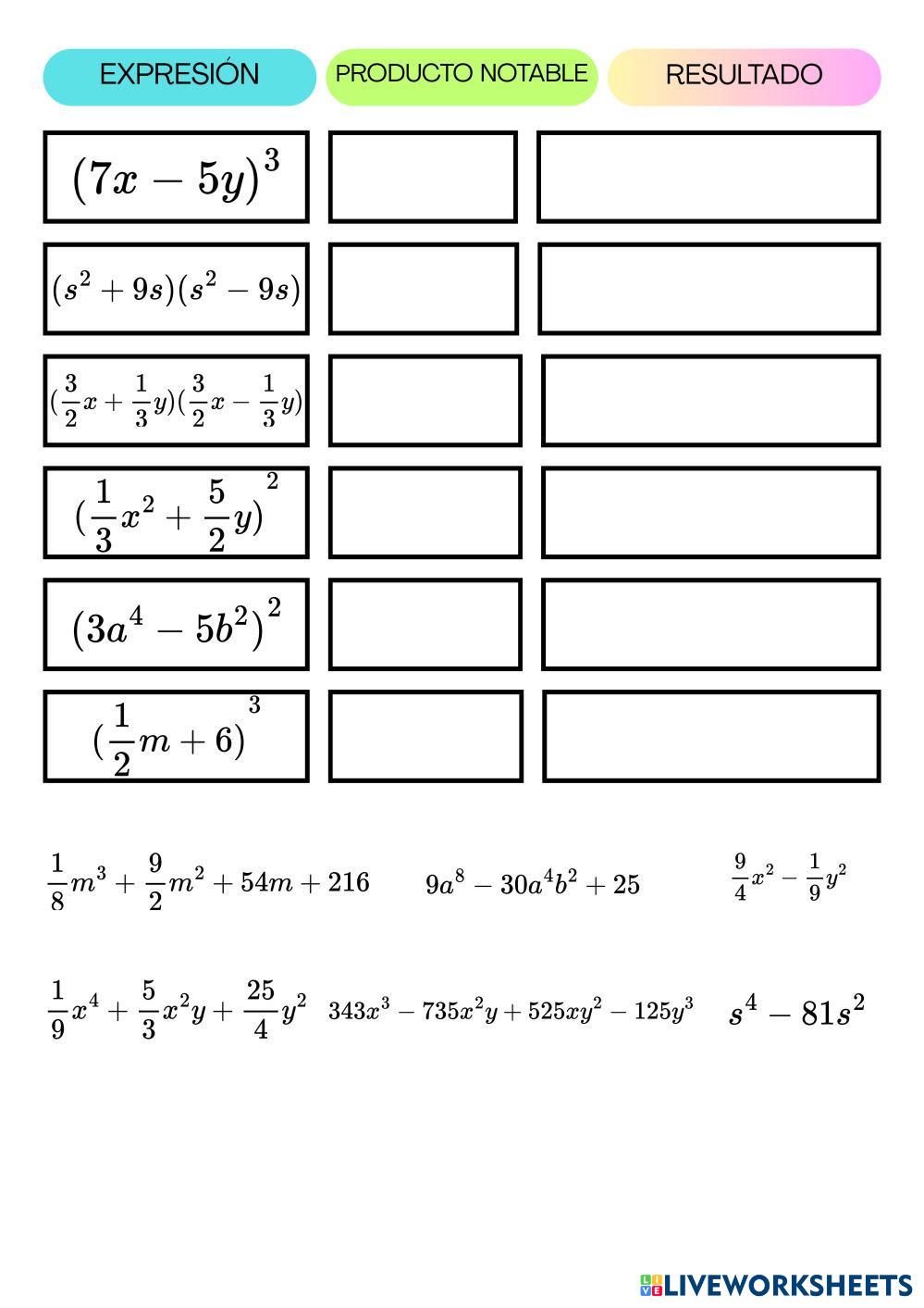
Productos notables
-
Age 13-18
-
level: 9
-
Spanish
คำแนะนำของผู้เขียน
-
Matemáticas
-
Productos notables
-
Age 13-18
-
level: 9
-
Spanish
อยากได้แบบฝึกหัดฟรีนับพัน (ไม่มีสิ่งรบกวนเลย)?
