-
Matemáticas
-
Polinomios
-
Age 12-14
-
level: Octavo
-
Spanish
คำแนะนำของผู้เขียน
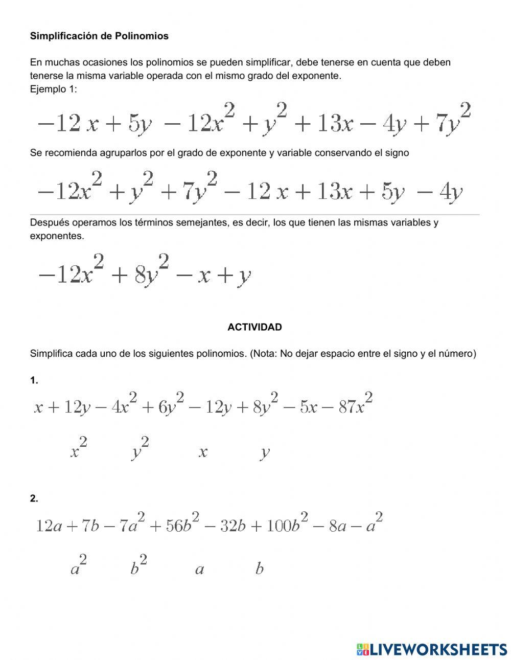
Operaciones y simplificación de polinomios
-
Matemáticas
-
Polinomios
-
Age 12-14
-
level: Octavo
-
Spanish
คำแนะนำของผู้เขียน
Operaciones y simplificación de polinomios
อยากได้แบบฝึกหัดฟรีนับพัน (ไม่มีสิ่งรบกวนเลย)?
