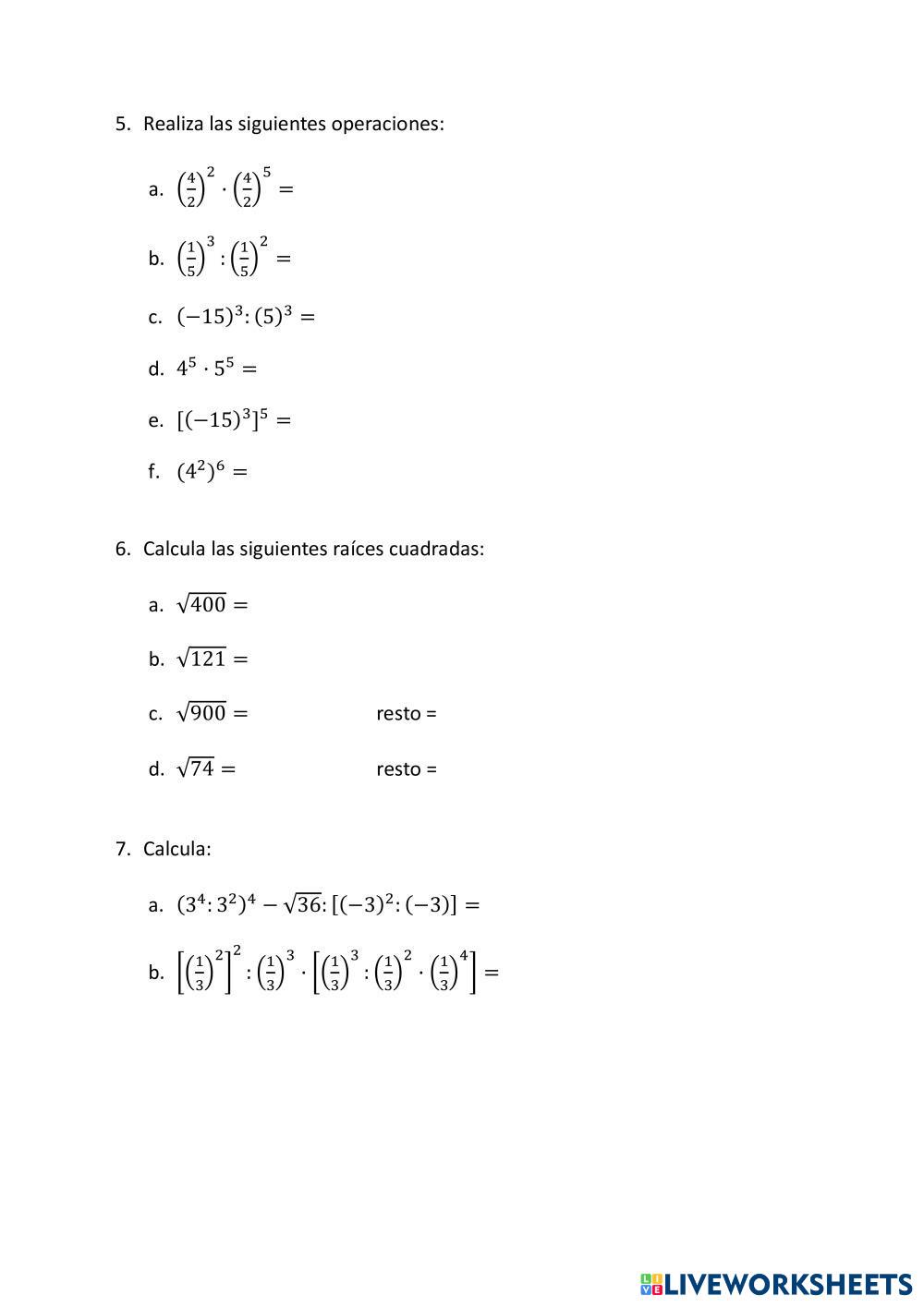
-
Matemáticas
-
Potencias y raíces
-
Age 13-17
-
level: 2ºESO
-
Spanish
คำแนะนำของผู้เขียน
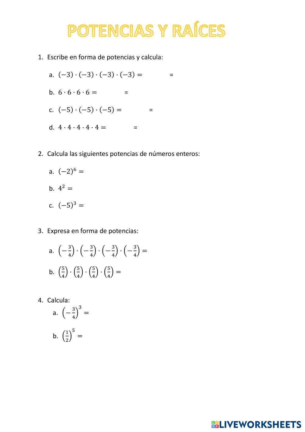
-
Matemáticas
-
Potencias y raíces
-
Age 13-17
-
level: 2ºESO
-
Spanish
อยากได้แบบฝึกหัดฟรีนับพัน (ไม่มีสิ่งรบกวนเลย)?
