Created by

llvcursos
-
Matemáticas
-
Ecuaciones de primer grado
-
Age 11+
-
level: 1º/2º ESO
-
Spanish
คำแนะนำของผู้เขียน
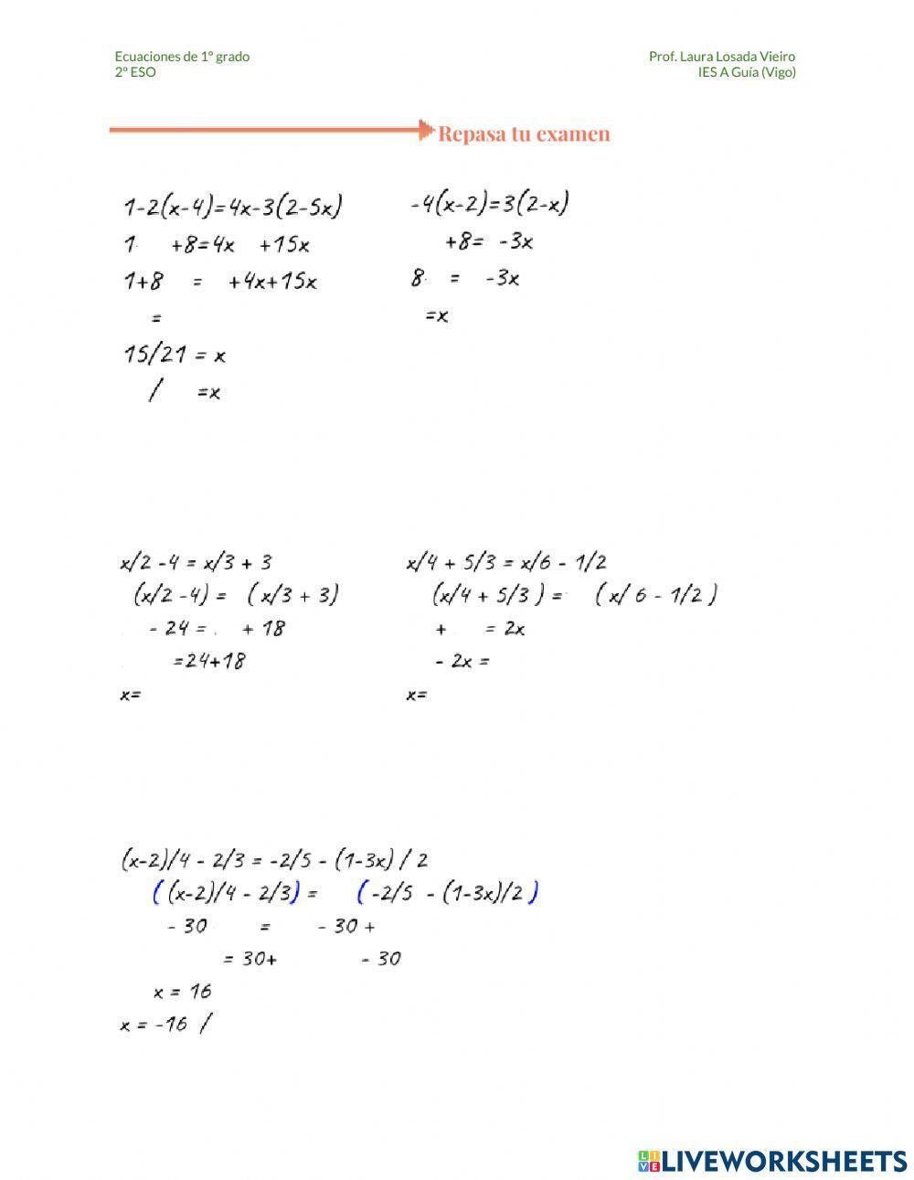
Ejercicios de repaso para el examen de ecuaciones de 1º grado
Created by

llvcursos
-
Matemáticas
-
Ecuaciones de primer grado
-
Age 11+
-
level: 1º/2º ESO
-
Spanish
คำแนะนำของผู้เขียน
Ejercicios de repaso para el examen de ecuaciones de 1º grado
อยากได้แบบฝึกหัดฟรีนับพัน (ไม่มีสิ่งรบกวนเลย)?