-
Matemáticas
-
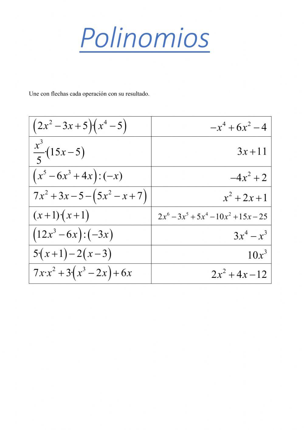
Operaciones combinadas con polinomios
-
Age 12-16
-
level: 2º, 3º, 4º ESO
-
Spanish
คำแนะนำของผู้เขียน
Sumas, restas, multiplicaciones y divisiones básicas con polinomios
-
Matemáticas
-
Operaciones combinadas con polinomios
-
Age 12-16
-
level: 2º, 3º, 4º ESO
-
Spanish
คำแนะนำของผู้เขียน
Sumas, restas, multiplicaciones y divisiones básicas con polinomios
อยากได้แบบฝึกหัดฟรีนับพัน (ไม่มีสิ่งรบกวนเลย)?
