-
Matemáticas
-
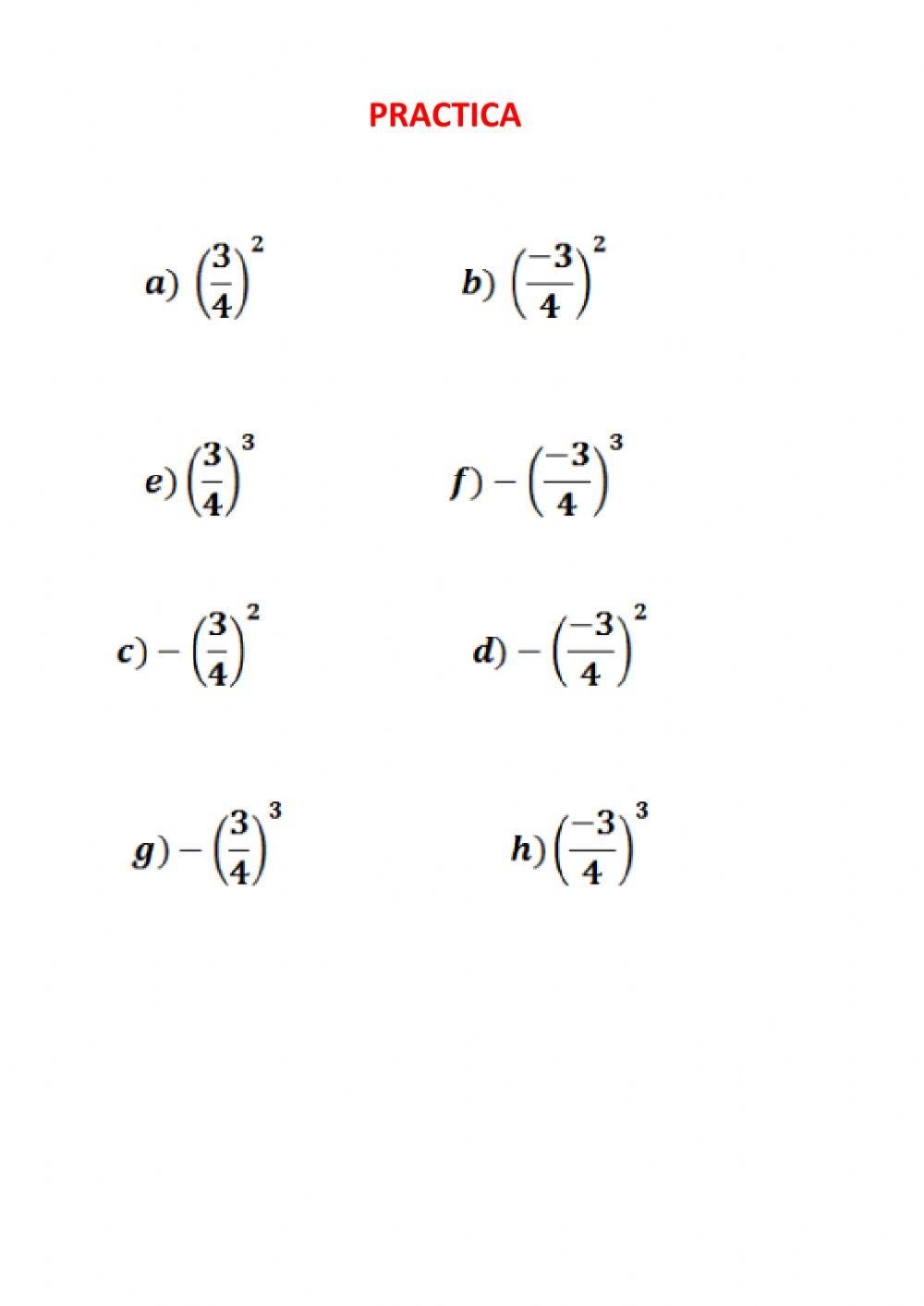
Potenciacion
-
Age 10-11
-
level: 1ro secc
-
Spanish
คำแนะนำของผู้เขียน
ejercicios resueltos de potenciacion
-
Matemáticas
-
Potenciacion
-
Age 10-11
-
level: 1ro secc
-
Spanish
คำแนะนำของผู้เขียน
ejercicios resueltos de potenciacion
อยากได้แบบฝึกหัดฟรีนับพัน (ไม่มีสิ่งรบกวนเลย)?
