Created by

TECNOVERO
-
Matemáticas
-
Ecuaciones
-
Age 14-18
-
level: 3º/4º ESO
-
Spanish
คำแนะนำของผู้เขียน
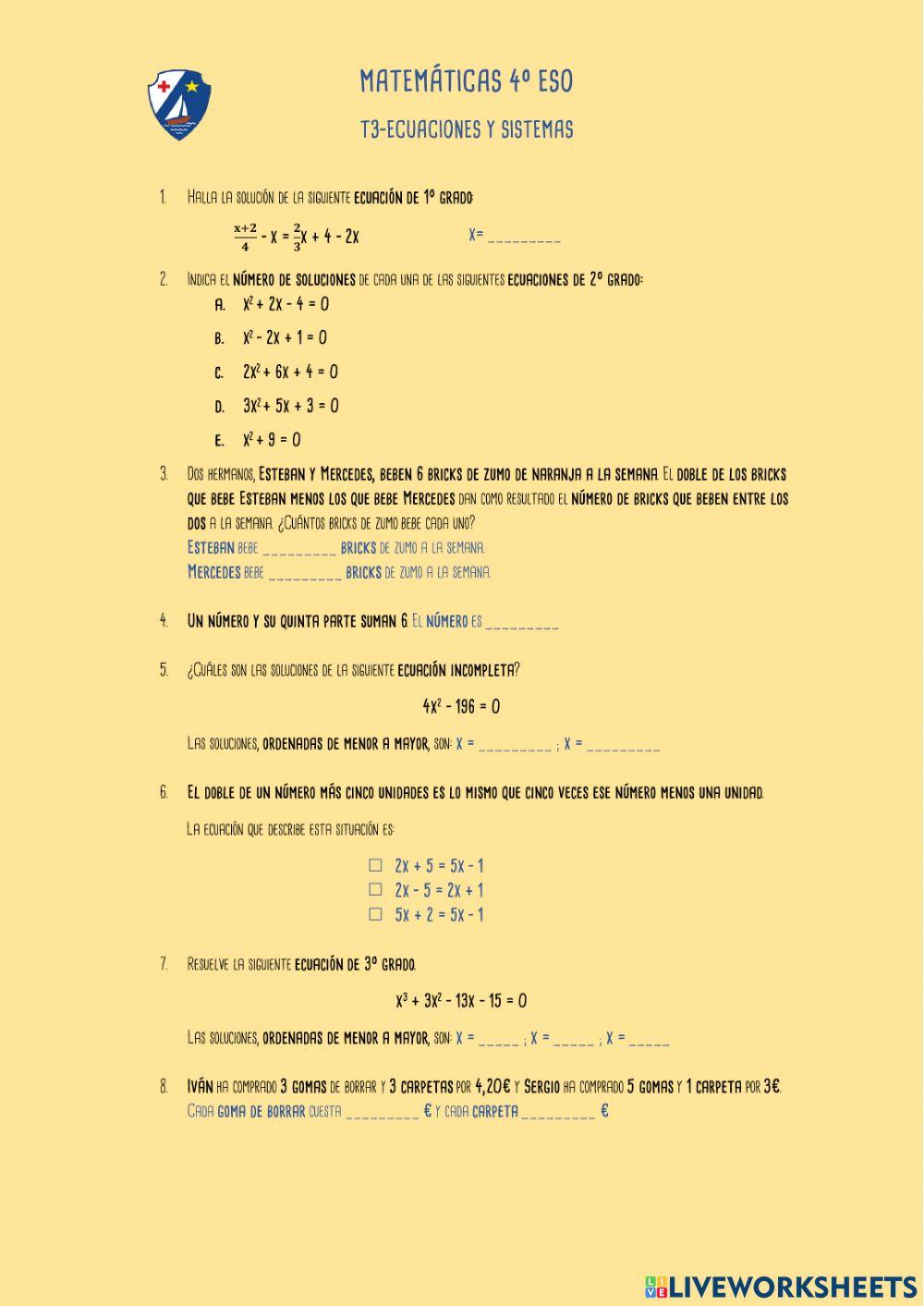
Ejercicios y problemas de ecuaciones de 1º grado, 2º grado y sistemas de ecuaciones lineales
Created by

TECNOVERO
-
Matemáticas
-
Ecuaciones
-
Age 14-18
-
level: 3º/4º ESO
-
Spanish
คำแนะนำของผู้เขียน
Ejercicios y problemas de ecuaciones de 1º grado, 2º grado y sistemas de ecuaciones lineales
อยากได้แบบฝึกหัดฟรีนับพัน (ไม่มีสิ่งรบกวนเลย)?