-
Matemáticas
-
Operaciones combinadas
-
Age 11+
-
level: Todos
-
Spanish
คำแนะนำของผู้เขียน
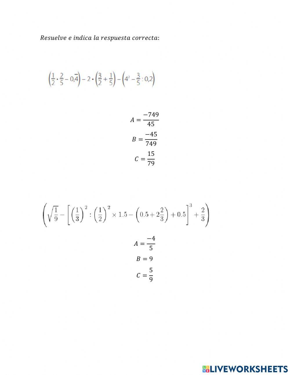
Operaciones Cmbinadas
-
Matemáticas
-
Operaciones combinadas
-
Age 11+
-
level: Todos
-
Spanish
คำแนะนำของผู้เขียน
Operaciones Cmbinadas
อยากได้แบบฝึกหัดฟรีนับพัน (ไม่มีสิ่งรบกวนเลย)?
